Open Access

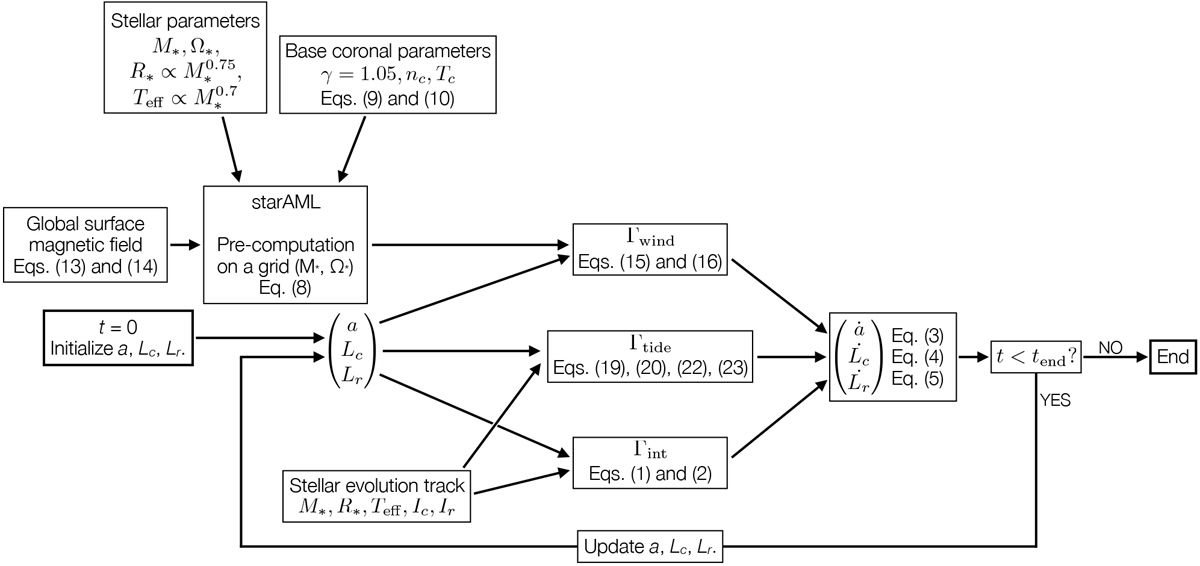
Fig. A.1

image

Scheme of the dependences in the code. We first initialize the values of a, Lc, and Lr. At eachtime step, the torques are computed from the current state of the system, the stellar evolution variables, and the results of starAML. Subsequently, the time derivatives ȧ, , and are computed from the torques. This iterative integration goes on until the age of the system is greater than the limit age we set for the computation.

Current usage metrics show cumulative count of Article Views (full-text article views including HTML views, PDF and ePub downloads, according to the available data) and Abstracts Views on Vision4Press platform.

Data correspond to usage on the plateform after 2015. The current usage metrics is available 48-96 hours after online publication and is updated daily on week days.

Initial download of the metrics may take a while.