Open Access

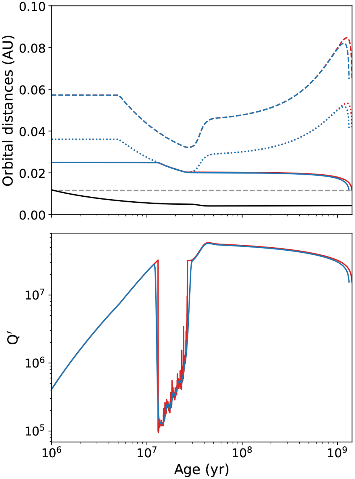
Fig. C.4

image

Secular evolution of a star–planet system composed by a 1 M star and a 1 MJup planet with an initial stellar rotation period P*,ini = 5 days and an initial semi-major axis aini = 0.025 AU. Red curves were computed for ω1 = 10−10 rad/s and blue curves, for ω1 = 10−6 rad/s. Top panel: semi-major axis (solid lines), stellar corotation radius (dashed lines), limit of excitation of tidal inertial waves (dotted lines), stellar radius (solid black line) and Roche limit (dashed gray line). Bottom panel: modified tidal quality factor.

Current usage metrics show cumulative count of Article Views (full-text article views including HTML views, PDF and ePub downloads, according to the available data) and Abstracts Views on Vision4Press platform.

Data correspond to usage on the plateform after 2015. The current usage metrics is available 48-96 hours after online publication and is updated daily on week days.

Initial download of the metrics may take a while.