Open Access

Fig. 5

image

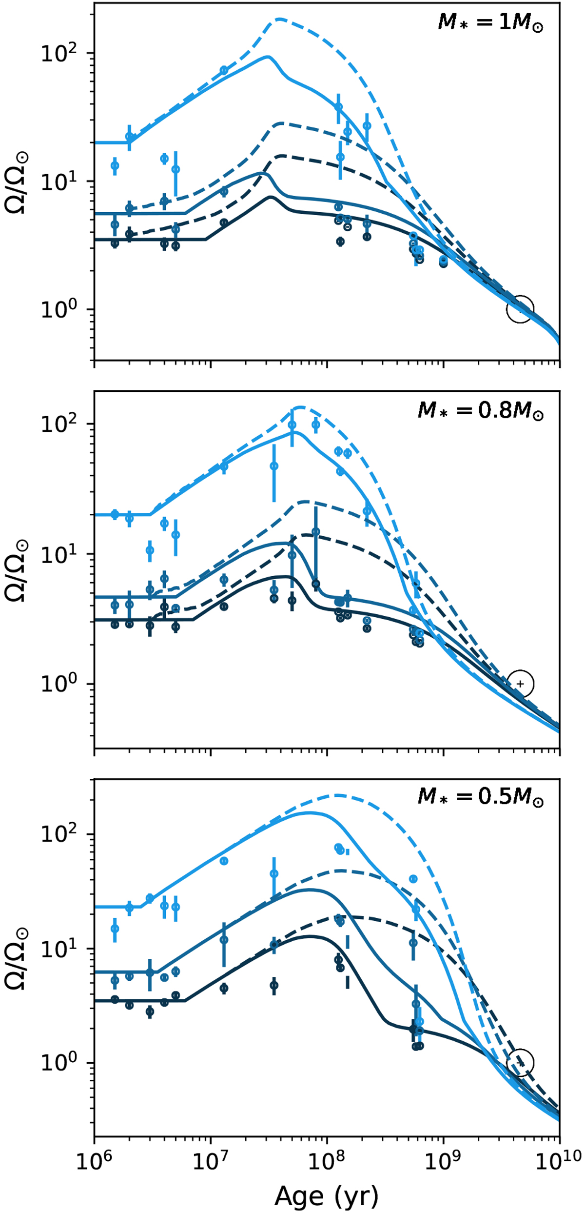
Secular evolution of the rotation for stars of mass 1, 0.8, and 0.5 M and different initial conditions. Solid and dashed curves represent the rotation velocity of the envelope and the core, respectively. The solar velocity at solar age is pictured by the white circle in the bottom-right corner of each frame. The blue circles with error bars correspond to the 25th, 50th, and 90th percentiles of rotational distributions of observed stellar clusters. These values were published by Gallet & Bouvier (2015). Values for the internal coupling constant τint are given in Table 1.

Current usage metrics show cumulative count of Article Views (full-text article views including HTML views, PDF and ePub downloads, according to the available data) and Abstracts Views on Vision4Press platform.

Data correspond to usage on the plateform after 2015. The current usage metrics is available 48-96 hours after online publication and is updated daily on week days.

Initial download of the metrics may take a while.