Open Access

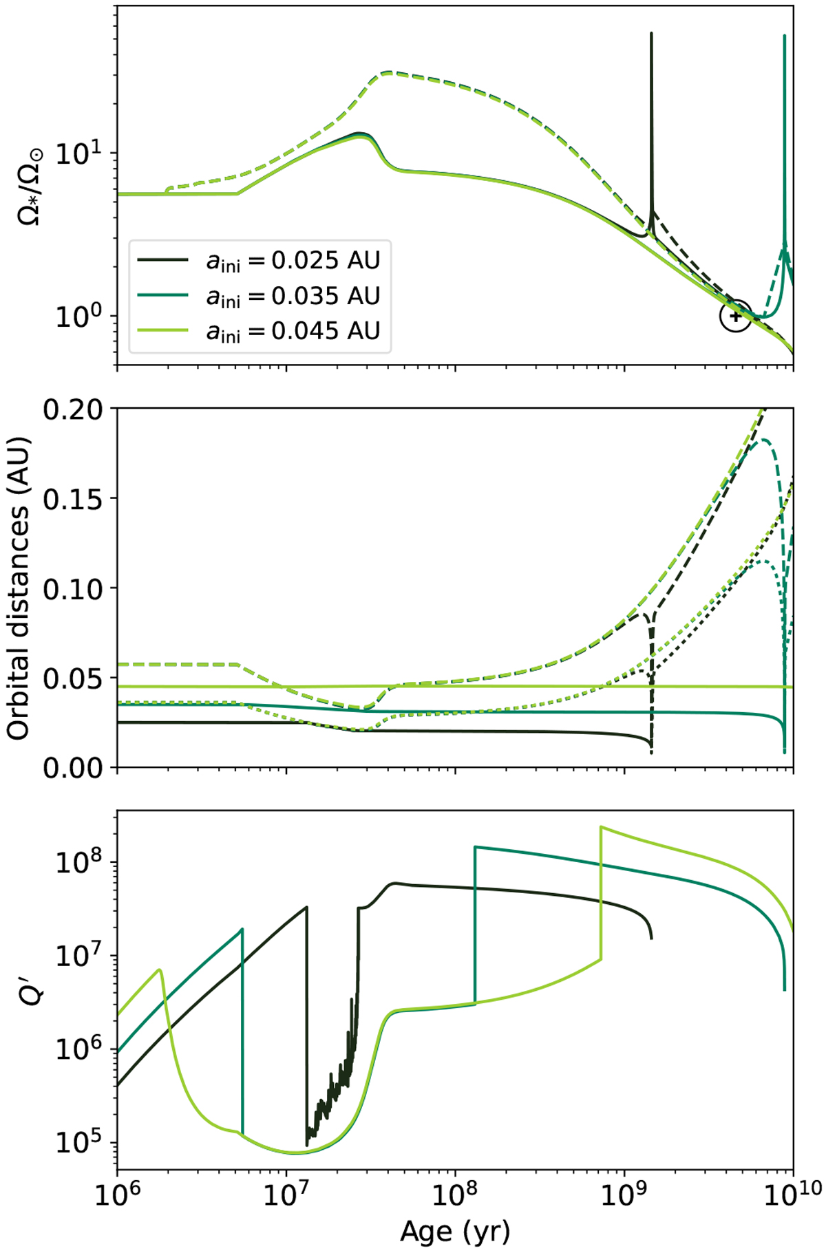
Fig. 8

image

Secular evolution of a star–planet system with M* = 1 M, P*,ini = 5 days, and mp = 1 MJup. The initial semi-major axis was set to 0.025 AU (dark green curves), 0.035 AU (medium green curves), and 0.045 AU (light green curves). Top panel: rotation rate of the envelope (solid lines) and of the radiative zone (dashed lines) of the star. Middlepanel: semi-major axis (solid lines), corotation radius of the star (dashed lines) and limit of excitation of the dynamical tide (dotted lines). Bottom panel: modified tidal quality factor.

Current usage metrics show cumulative count of Article Views (full-text article views including HTML views, PDF and ePub downloads, according to the available data) and Abstracts Views on Vision4Press platform.

Data correspond to usage on the plateform after 2015. The current usage metrics is available 48-96 hours after online publication and is updated daily on week days.

Initial download of the metrics may take a while.