Highlight
Free Access

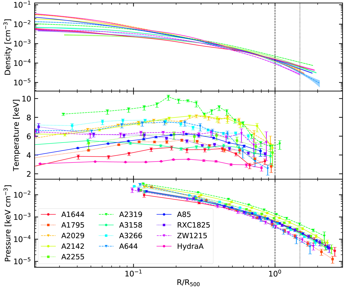
Fig. 1.

image

From top to bottom panels: reconstructed electron density, projected temperature, and SZ pressure profiles as functions of the radius in scale units of R500. Statistical error bars are overplotted. The two vertical lines indicate R500 and R200.

Current usage metrics show cumulative count of Article Views (full-text article views including HTML views, PDF and ePub downloads, according to the available data) and Abstracts Views on Vision4Press platform.

Data correspond to usage on the plateform after 2015. The current usage metrics is available 48-96 hours after online publication and is updated daily on week days.

Initial download of the metrics may take a while.