Highlight
Free Access

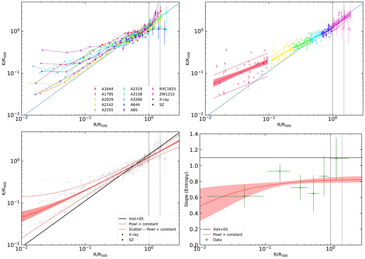
Fig. 6.

image

Same as Fig. 3 for the entropy profiles rescaled by the self-similar quantity K500 (Eq. (12)). The filled circles show the measurements obtained from the X-ray spectroscopic temperature as , whereas the filled squares indicate the data points obtained by combining the SZ pressure with the gas density as . The solid red curves in the bottom panels indicate the best fit to the entire population with the functional form presented in Eq. (13), whereas the solid black line shows the prediction of pure gravitational collapse (Voit et al. 2005).

Current usage metrics show cumulative count of Article Views (full-text article views including HTML views, PDF and ePub downloads, according to the available data) and Abstracts Views on Vision4Press platform.

Data correspond to usage on the plateform after 2015. The current usage metrics is available 48-96 hours after online publication and is updated daily on week days.

Initial download of the metrics may take a while.