Highlight
Free Access

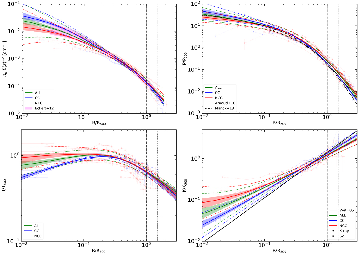
Fig. 8.

image

Thermodynamic quantities of the X-COP clusters dividing the clusters into cool-core (CC, in blue) and non-cool-core (NCC, in red) populations, compared with the entire population (ALL, in green). Top left panel: density profiles fitted using the functional form presented in Eq. (7), overplotted on the data and on the “universal” density profile of Eckert et al. (2012, pink shaded area). Top right panel: pressure profiles fitted using the functional form presented in Eq. (9), overplotted on the data and compared to the Planck results (Planck Collaboration Int. V 2013), dotted black line) and the universal pressure profile of Arnaud et al. (2010, dash-dotted black line). Bottom left panel: temperature profiles fitted using the functional form presented in Eq. (7) and overplotted on the data. Bottom right panel: entropy profiles fitted using the functional form presented in Eq. (13), overplotted on the data and on the gravitational collapse predictions (Voit et al. 2005, solid black line).

Current usage metrics show cumulative count of Article Views (full-text article views including HTML views, PDF and ePub downloads, according to the available data) and Abstracts Views on Vision4Press platform.

Data correspond to usage on the plateform after 2015. The current usage metrics is available 48-96 hours after online publication and is updated daily on week days.

Initial download of the metrics may take a while.