Free Access

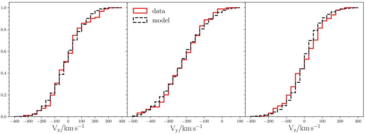
Fig. 4.

image

Cumulative distribution of heliocentric cartesian velocities of the GCs (red solid) compared to that of the best model (black dashed). The Kolmogorov–Smirnov test returns a 88%, 83%, and 42% probability that the two samples in Vx, Vy, and Vz, respectively, are drawn from the same distributions.

Current usage metrics show cumulative count of Article Views (full-text article views including HTML views, PDF and ePub downloads, according to the available data) and Abstracts Views on Vision4Press platform.

Data correspond to usage on the plateform after 2015. The current usage metrics is available 48-96 hours after online publication and is updated daily on week days.

Initial download of the metrics may take a while.