Free Access

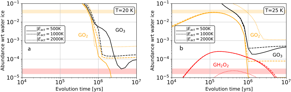
Fig. 10

image

Evolving abundances for O2 ice, H2O2 ice and O3 ice for three different activation energies for the reaction iO + iO2. Panel a is for T = 20 K. Panel b is for T = 25 K. The barrier width for quantum tunnelling is bqt = 2 Å, and the molecular diffusion-to-binding energy is 0.5.

Current usage metrics show cumulative count of Article Views (full-text article views including HTML views, PDF and ePub downloads, according to the available data) and Abstracts Views on Vision4Press platform.

Data correspond to usage on the plateform after 2015. The current usage metrics is available 48-96 hours after online publication and is updated daily on week days.

Initial download of the metrics may take a while.