Free Access

Fig. 11.

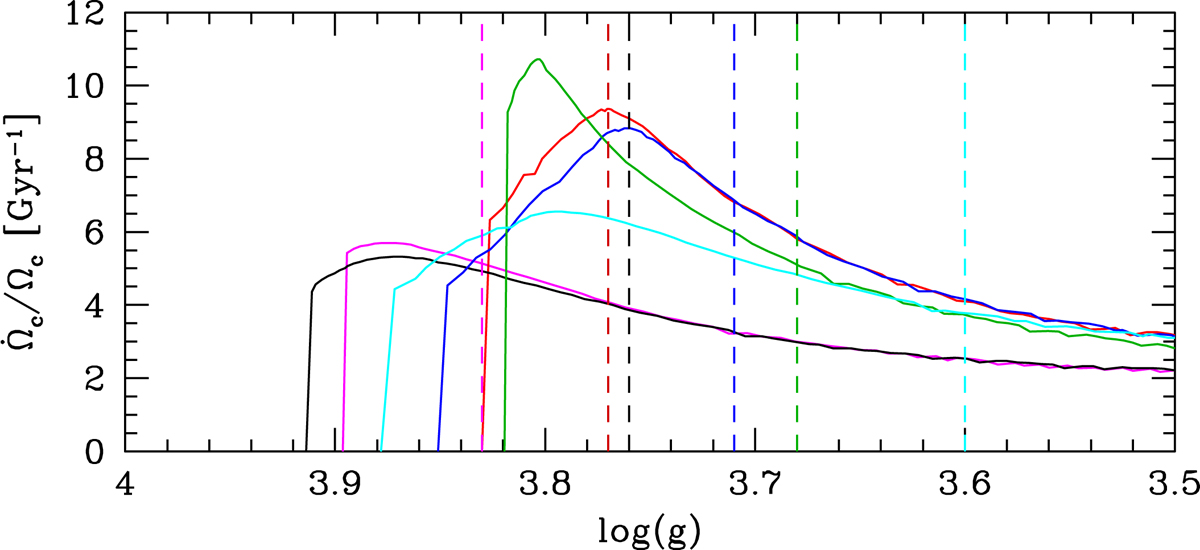
image

Variation rate of the core angular velocity Ωc as a function of gravity for rotating models of the six subgiants computed by assuming solid-body rotation until a given point during the poMS. Magenta, red, black, blue, green and cyan lines correspond to stars A, B, C, D, E and F, respectively. Vertical dashed lines indicate the values of the gravity for the six stars.

Current usage metrics show cumulative count of Article Views (full-text article views including HTML views, PDF and ePub downloads, according to the available data) and Abstracts Views on Vision4Press platform.

Data correspond to usage on the plateform after 2015. The current usage metrics is available 48-96 hours after online publication and is updated daily on week days.

Initial download of the metrics may take a while.