Free Access

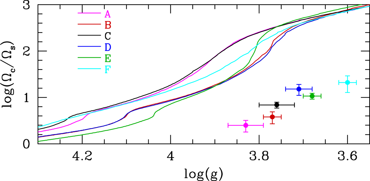
Fig. 2.

image

Ratio of core to surface rotation rates as a function of gravity for rotating models of the six subgiants. These models are computed without additional viscosity (νadd = 0) and an initial velocity on the ZAMS of 6, 5, 5, 6, 8 and 4 km s−1 for stars A, B, C, D, E and F, respectively. Dots indicate the values of the ratio of core to surface rotation rates determined for the six subgiants from asteroseismic measurements (Deheuvels et al. 2014).

Current usage metrics show cumulative count of Article Views (full-text article views including HTML views, PDF and ePub downloads, according to the available data) and Abstracts Views on Vision4Press platform.

Data correspond to usage on the plateform after 2015. The current usage metrics is available 48-96 hours after online publication and is updated daily on week days.

Initial download of the metrics may take a while.