Free Access

Fig. 5.

image

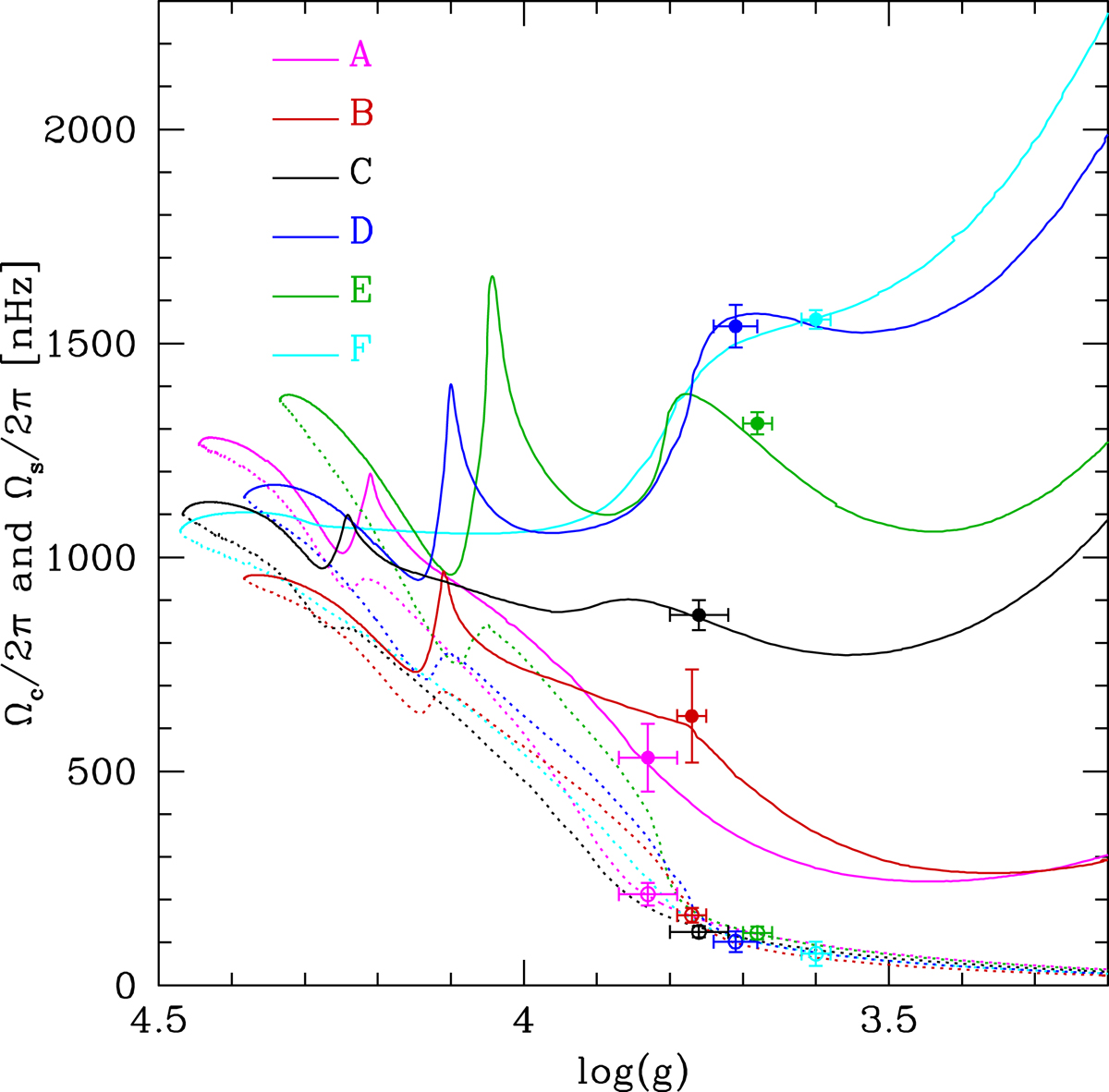
Core and surface (solid and dotted lines) rotation rates as a function of gravity for rotating models of the six subgiants. These models are computed with an additional viscosity νadd of 1.5 × 104, 1.7 × 104, 6 × 103, 6 × 103, 1 × 104 and 4 × 103 cm2 s−1 for stars A, B, C, D, E and F, respectively. The initial velocity on the ZAMS is equal to 6, 5, 5, 6, 8 and 4 km s−1 for stars A, B, C, D, E and F, respectively. Dots and open circles indicate the values of core and surface rotation rates determined for the six subgiants from asteroseismic measurements (Deheuvels et al. 2014).

Current usage metrics show cumulative count of Article Views (full-text article views including HTML views, PDF and ePub downloads, according to the available data) and Abstracts Views on Vision4Press platform.

Data correspond to usage on the plateform after 2015. The current usage metrics is available 48-96 hours after online publication and is updated daily on week days.

Initial download of the metrics may take a while.