Free Access

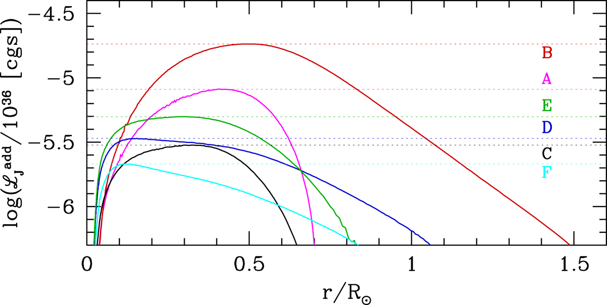
Fig. 8.

image

Angular momentum luminosity as a function of the radius in solar units () associated to the additional mechanism needed for the transport of angular momentum in the radiative zones of subgiant stars. Horizontal dotted lines indicate the maximum value of this luminosity for the six subgiants.

Current usage metrics show cumulative count of Article Views (full-text article views including HTML views, PDF and ePub downloads, according to the available data) and Abstracts Views on Vision4Press platform.

Data correspond to usage on the plateform after 2015. The current usage metrics is available 48-96 hours after online publication and is updated daily on week days.

Initial download of the metrics may take a while.