Free Access

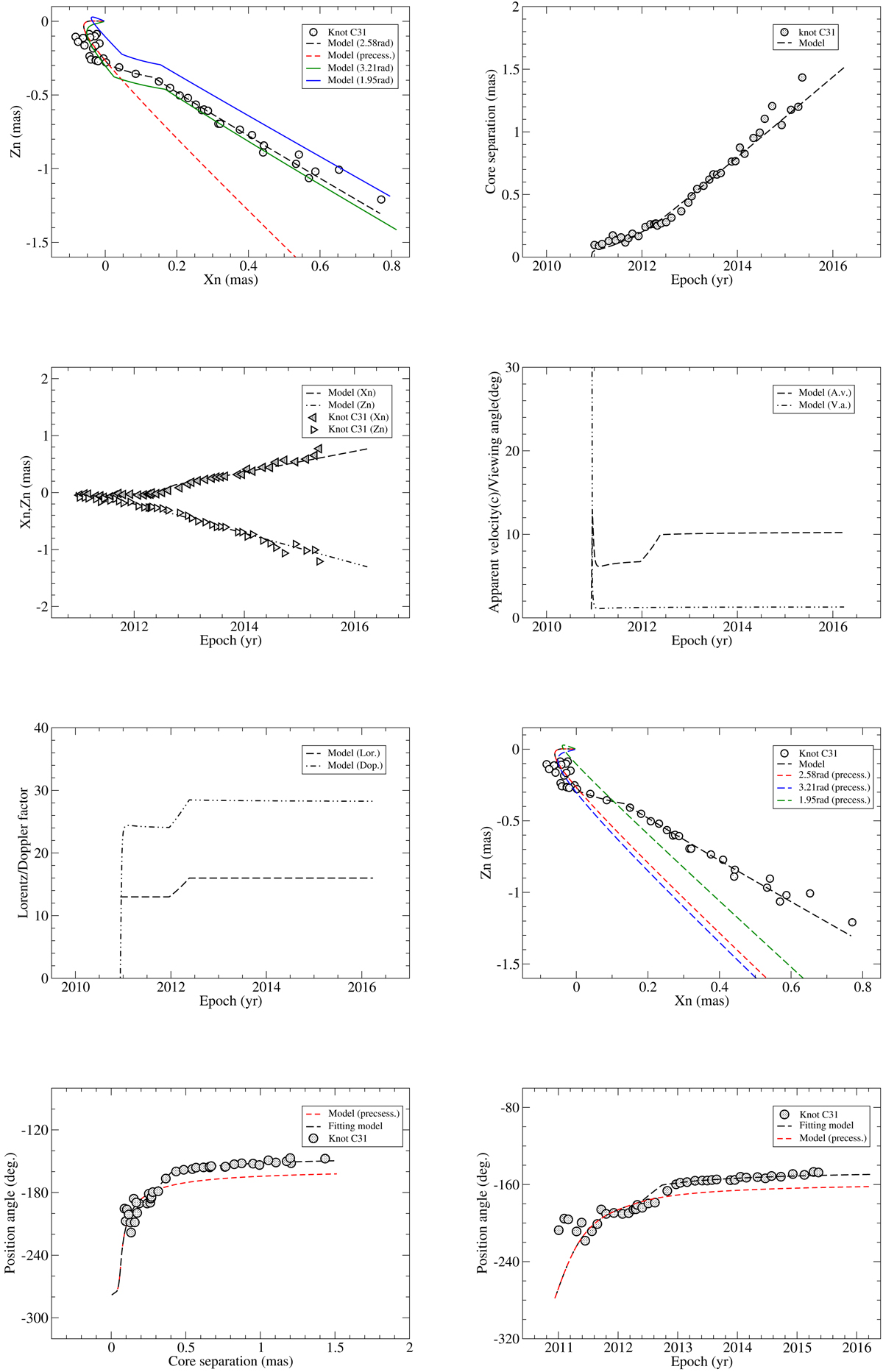
Fig. 10.

image

Model-fitting results of the kinematics for knot C31. Bottom panels: the modeled relations between its observed position angle vs. core separation (left) and vs. time (right) are shown. The black lines denote the fitting model and the red lines indicate the precessing nozzle model. The black line and the red line coincide only at their initial parts near the core due to the trajectory curvatures in the outer jet regions. We note that several data points within core separation rn <  0.3 mas are located close to the precessing common parabolic trajectory.

Current usage metrics show cumulative count of Article Views (full-text article views including HTML views, PDF and ePub downloads, according to the available data) and Abstracts Views on Vision4Press platform.

Data correspond to usage on the plateform after 2015. The current usage metrics is available 48-96 hours after online publication and is updated daily on week days.

Initial download of the metrics may take a while.