Free Access

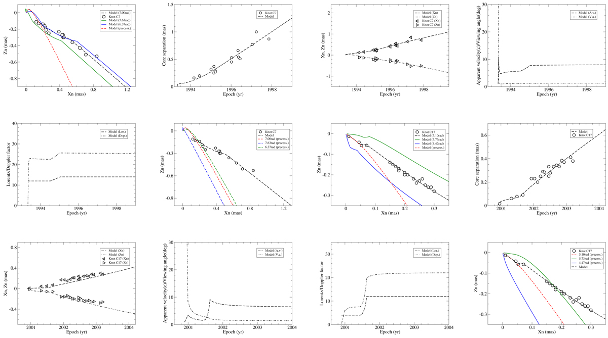
Fig. B.2.

image

Model-fitting results of the kinematic features for knot C7 (first 6 panels, from top left to bottom right) and for C17 (last six panels) including trajectory, core separation, coordinates, apparent velocity, viewing angle, Lorentz factor, and Doppler factor. In the 1st and 7th panels, the green and blue lines represent the fitting model trajectories calculated for precession phases ω ± 0.63 rad. In the 6th and 12th panels, the green and blue lines represent the precessing common parabolic trajectories calculated for precession phases ω ± 0.63 rad.

Current usage metrics show cumulative count of Article Views (full-text article views including HTML views, PDF and ePub downloads, according to the available data) and Abstracts Views on Vision4Press platform.

Data correspond to usage on the plateform after 2015. The current usage metrics is available 48-96 hours after online publication and is updated daily on week days.

Initial download of the metrics may take a while.