Free Access

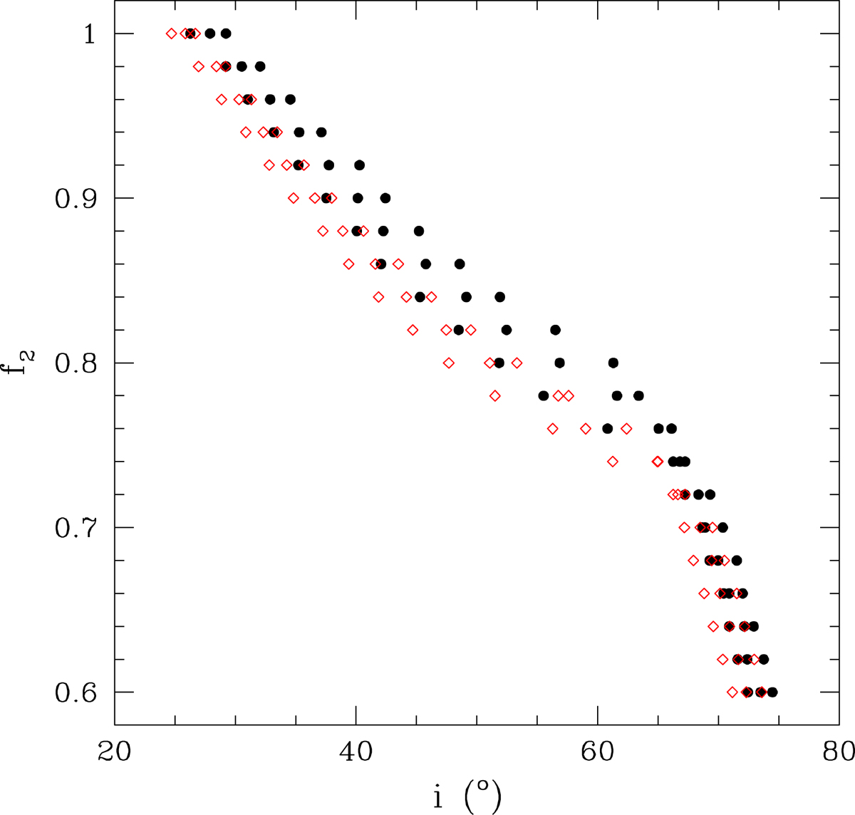
Fig. 10.

image

Secondary filling factor f2 as a function of orbital inclination for the best-fit lightcurve models of option II (binned BRITE lightcurve) without a spot on the secondary (filled dots) and including a spot (red open diamonds). For each value of f2 three models are shown, corresponding to the three values of f1 investigated.

Current usage metrics show cumulative count of Article Views (full-text article views including HTML views, PDF and ePub downloads, according to the available data) and Abstracts Views on Vision4Press platform.

Data correspond to usage on the plateform after 2015. The current usage metrics is available 48-96 hours after online publication and is updated daily on week days.

Initial download of the metrics may take a while.