Free Access

Fig. 12.

image

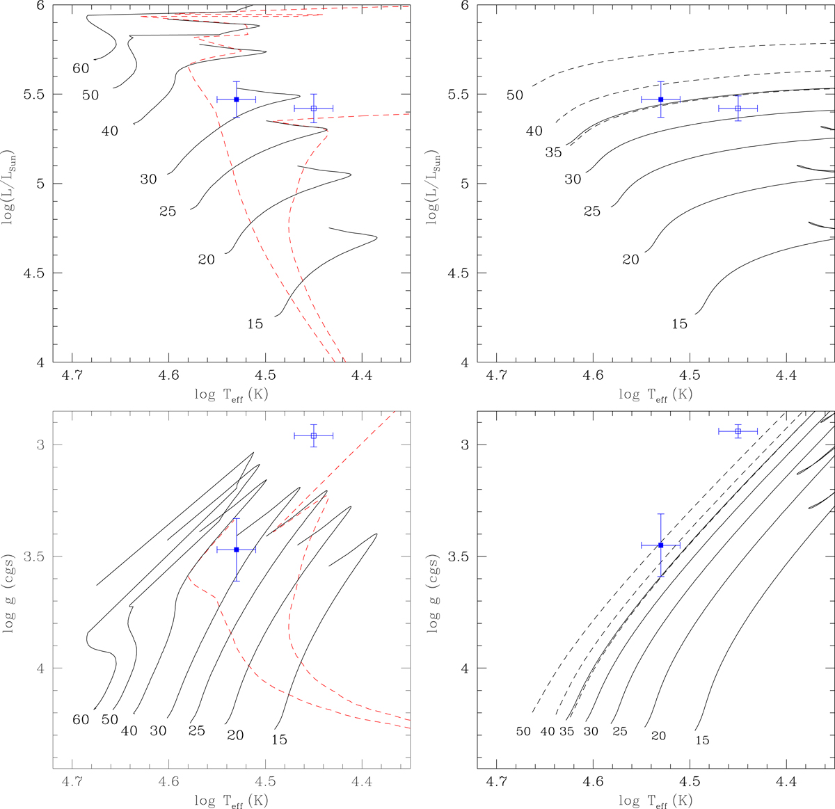
Position of the components of HD 149 404 in the Hertzsprung-Russell diagram (upper panels) and in the log g–log Teff diagram (lower panels). The filled (resp. empty) symbols correspond to the primary (resp. secondary) star. In the left panels, evolutionary tracks for single massive stars at solar metallicity and initially rotating at 0.4 × vcrit from Ekström et al. (2012) are overplotted. The dashed red lines correspond to isochrones of 5.0 and 7.9 Myr. In the right panels we show evolutionary tracks from Brott et al. (2011). The solid lines yield tracks with initial equatorial rotational velocities near 100 km s−1 (112, 111, 110, 109, and 109 km s−1 for the 15, 20, 25, 30, and 35 M models), whilst the dashed tracks correspond to initial equatorial rotational velocities near 200 km s−1 (216, 214, and 213 km s−1 for the 35, 40, and 50 M models).

Current usage metrics show cumulative count of Article Views (full-text article views including HTML views, PDF and ePub downloads, according to the available data) and Abstracts Views on Vision4Press platform.

Data correspond to usage on the plateform after 2015. The current usage metrics is available 48-96 hours after online publication and is updated daily on week days.

Initial download of the metrics may take a while.