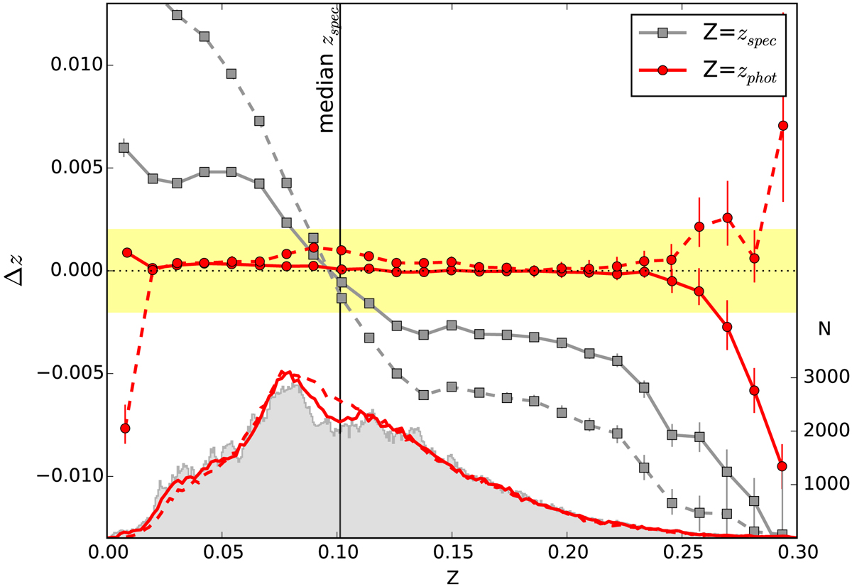
Fig. 8.

Mean residuals as a function of spectroscopic redshifts (gray) and CNN redshifts (red). The dashed lines show the corresponding results for B16. The histograms are the respective redshift distributions. The CNN redshifts tend to be slightly over(under)-estimated below(above) the most populated redshift bins of the training sample, that is, they are biased toward the region of highest training. The effect is larger for B16, however no bias is found as a function of photometric redshift in either case.
Current usage metrics show cumulative count of Article Views (full-text article views including HTML views, PDF and ePub downloads, according to the available data) and Abstracts Views on Vision4Press platform.
Data correspond to usage on the plateform after 2015. The current usage metrics is available 48-96 hours after online publication and is updated daily on week days.
Initial download of the metrics may take a while.