Free Access

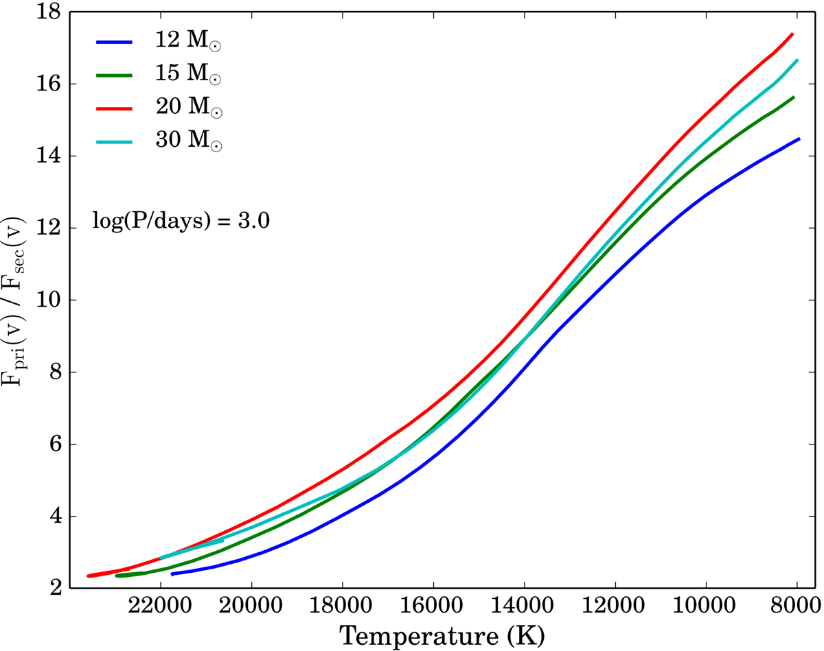
Fig. 10.

image

Ratio of the flux of the primary to the secondary in the V band, FV,  pri/FV,  sec, as a function of the temperature of the primary star during the main BSG stage of the primary (before mass transfer takes place). The values were computed for our MESA models with initial primary masses of 12, 15, 20 and 30 M, log(P/days) = 3.0 and mass ratio q = 0.9.

Current usage metrics show cumulative count of Article Views (full-text article views including HTML views, PDF and ePub downloads, according to the available data) and Abstracts Views on Vision4Press platform.

Data correspond to usage on the plateform after 2015. The current usage metrics is available 48-96 hours after online publication and is updated daily on week days.

Initial download of the metrics may take a while.