Free Access

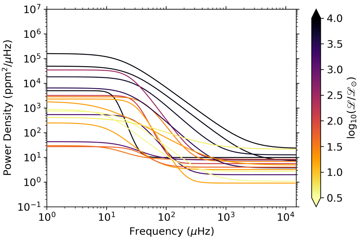
Fig. 7.

image

Measured profiles of red noise determined from the power density spectra of CoRoT photometry for stars with known stellar parameters from spectroscopy and sufficient CoRoT data for an accurate background fit to the residual power density spectrum, which have been colour-coded by their spectroscopic luminosity.

Current usage metrics show cumulative count of Article Views (full-text article views including HTML views, PDF and ePub downloads, according to the available data) and Abstracts Views on Vision4Press platform.

Data correspond to usage on the plateform after 2015. The current usage metrics is available 48-96 hours after online publication and is updated daily on week days.

Initial download of the metrics may take a while.