Free Access

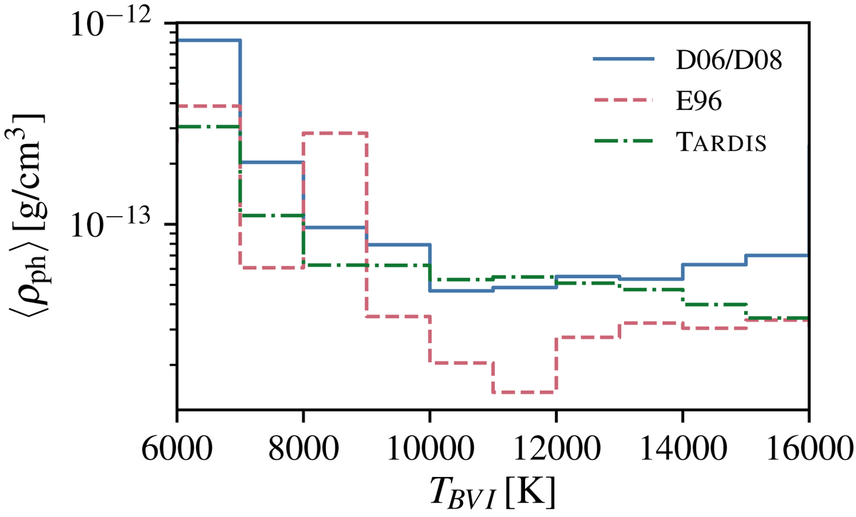
Fig. 11.

image

Comparison of the mean photospheric density ⟨ρph⟩ at a given {B,V,I} color temperature for the models from E96 (red dashed), the tailored EPM analyses of Dessart & Hillier (2006) and Dessart et al. (2008; D06/D08, blue solid), and this paper (green dash-dotted). The plotted densities have been rescaled slightly to account for differences in the composition as outlined in Sect. 7.2.

Current usage metrics show cumulative count of Article Views (full-text article views including HTML views, PDF and ePub downloads, according to the available data) and Abstracts Views on Vision4Press platform.

Data correspond to usage on the plateform after 2015. The current usage metrics is available 48-96 hours after online publication and is updated daily on week days.

Initial download of the metrics may take a while.