Free Access

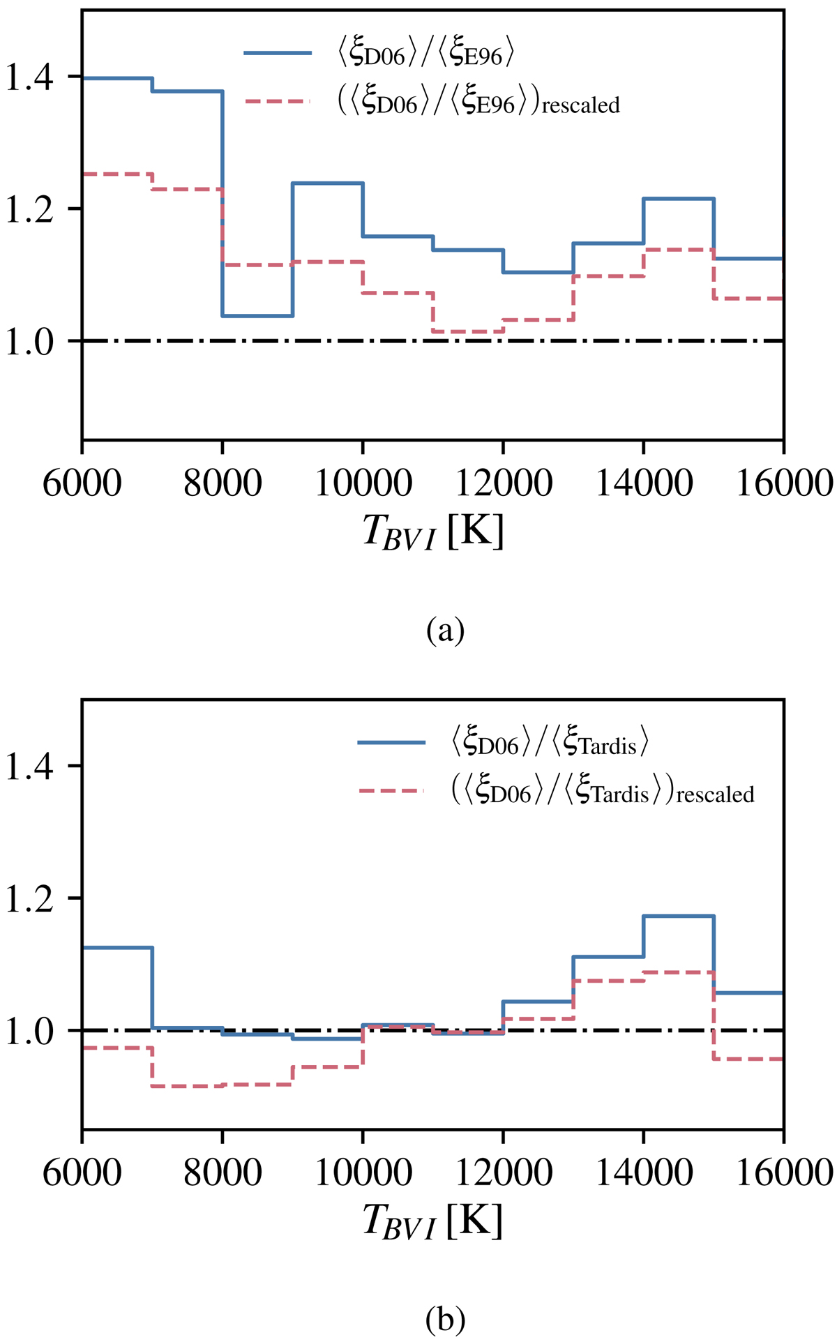
Fig. 12.

image

Comparison of the discrepancy between the dilution factor set in the {B,V,I} bandpass combination of Dessart & Hillier (2006) and Dessart et al. (2008)ξD06⟩, and E96ξE96⟩ (panel a), and with respect to the results of this paper ⟨ξTardis⟩ (panel b). The findings before (blue solid) and after (red dashed) the application of a density correction factor are shown. The details of the procedure are described in Sect. 7.2.

Current usage metrics show cumulative count of Article Views (full-text article views including HTML views, PDF and ePub downloads, according to the available data) and Abstracts Views on Vision4Press platform.

Data correspond to usage on the plateform after 2015. The current usage metrics is available 48-96 hours after online publication and is updated daily on week days.

Initial download of the metrics may take a while.