Free Access

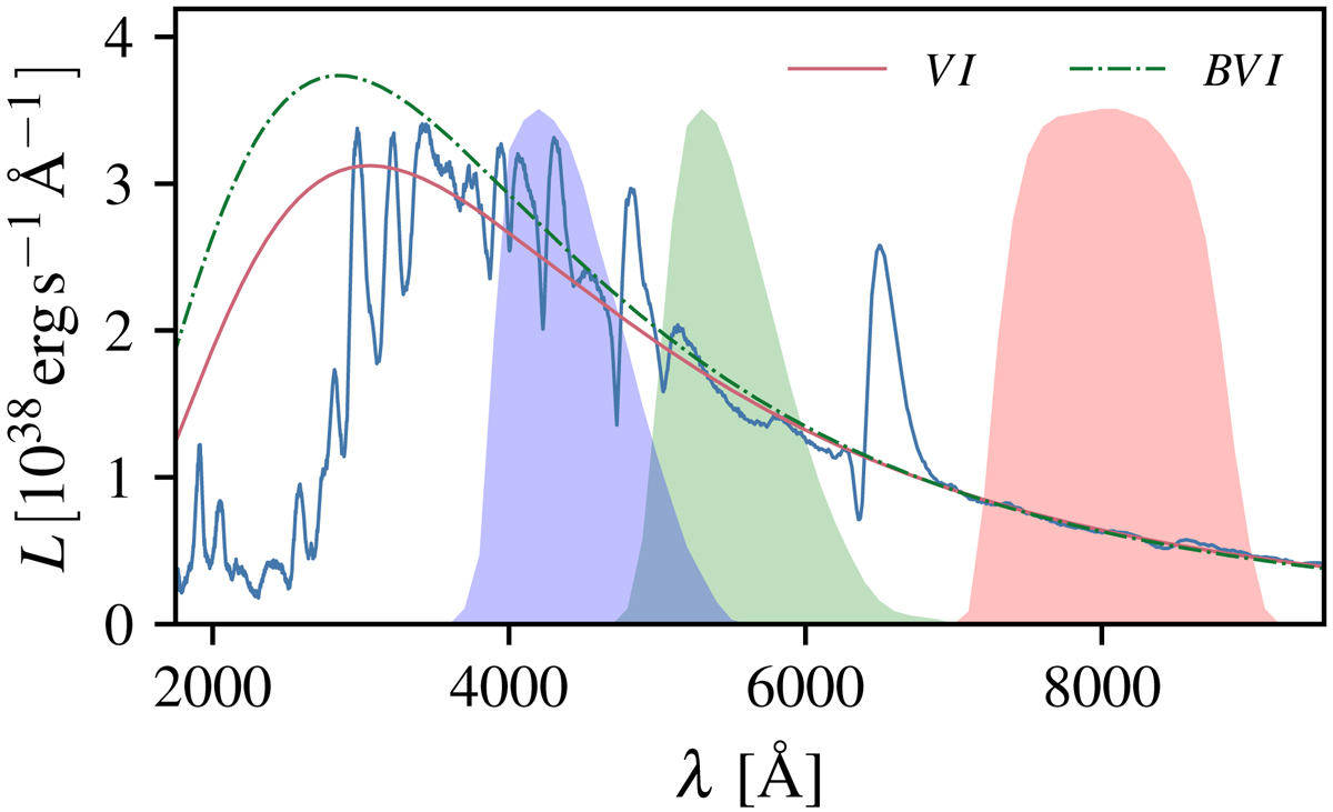
Fig. 5.

image

Comparison of the dilute blackbody models from {V,I} (red) and {B,V,I} synthetic photometry (green) to the original TARDIS spectrum (blue). The spectrum is our SN1999em model for the 9th of November (see Fig. 2). The parameters of the blackbody fits are TVI = 9500 K, TBVI = 10 200 K and ξVI = 0.49, ξBVI = 0.45. We have overplotted the transmission curves for the B, V and I filters from Bessell (1990). The Monte Carlo spectrum has been smoothed using a Savitzky–Golay filter (Savitzky & Golay 1964).

Current usage metrics show cumulative count of Article Views (full-text article views including HTML views, PDF and ePub downloads, according to the available data) and Abstracts Views on Vision4Press platform.

Data correspond to usage on the plateform after 2015. The current usage metrics is available 48-96 hours after online publication and is updated daily on week days.

Initial download of the metrics may take a while.