Free Access

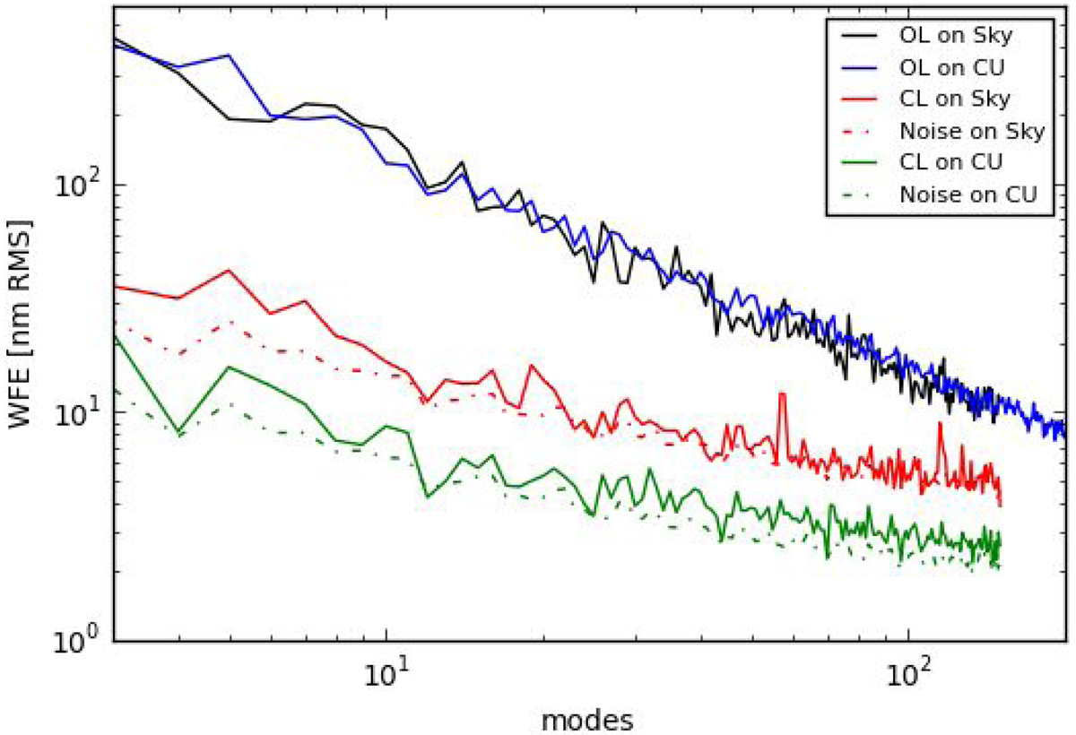
Fig. 14.

image

Modal decomposition of the wavefront measured by the LGS WFS. The tip-tilt modes have been removed because they are sensed by the NGS WFS. In open loop (OL) the integral of the measured WF amounts to 860 nm rms in daytime, using the prime focus calibration unit (CU) (blue line), and to 830 nm rms on sky (black line). When the AO loop is closed the WFE are lowered to 55 nm rms (green) and 120 nm rms (red) respectively. The dashed lines show the modal decomposition of the covariance matrix for the SH WFS measurement error evaluated considering the daytime (green) and on-sky (red) parameters of seeing, flux, and spot dimension.

Current usage metrics show cumulative count of Article Views (full-text article views including HTML views, PDF and ePub downloads, according to the available data) and Abstracts Views on Vision4Press platform.

Data correspond to usage on the plateform after 2015. The current usage metrics is available 48-96 hours after online publication and is updated daily on week days.

Initial download of the metrics may take a while.