Free Access

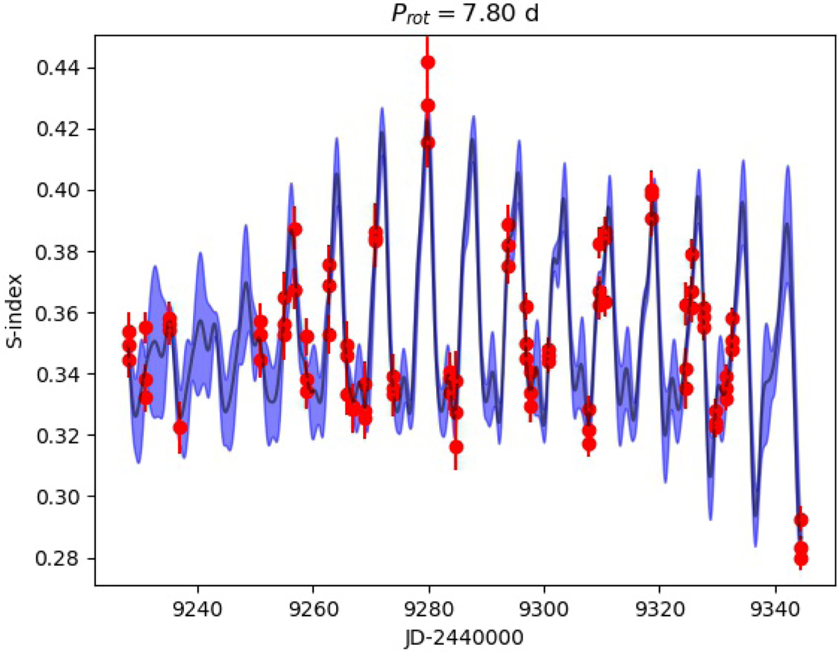
Fig. 2.

image

Selected observing season of Mount Wilson S-index time series of the star HD 1835 (indicated by the red box in Fig. 1). The GP prediction is shown as solid line with the 1σ uncertainties of the prediction in blue. The GP model predicts a rotation period of Prot = 7.80 d.

Current usage metrics show cumulative count of Article Views (full-text article views including HTML views, PDF and ePub downloads, according to the available data) and Abstracts Views on Vision4Press platform.

Data correspond to usage on the plateform after 2015. The current usage metrics is available 48-96 hours after online publication and is updated daily on week days.

Initial download of the metrics may take a while.