Free Access

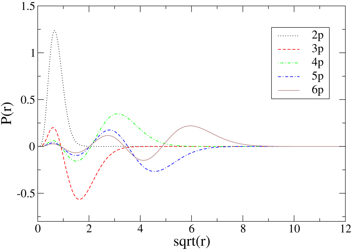
Fig. 1.

image

Al I Dirac-Fock radial orbitals for the p symmetry, as a function of . The 2p orbital is part of the core and the orbitals from n = 3 to n = 6 are part of the valence electron cloud. These orbitals occupy different regions in space and the overlap between some of the Rydberg states is minor.

Current usage metrics show cumulative count of Article Views (full-text article views including HTML views, PDF and ePub downloads, according to the available data) and Abstracts Views on Vision4Press platform.

Data correspond to usage on the plateform after 2015. The current usage metrics is available 48-96 hours after online publication and is updated daily on week days.

Initial download of the metrics may take a while.