Free Access

Fig. 2.

image

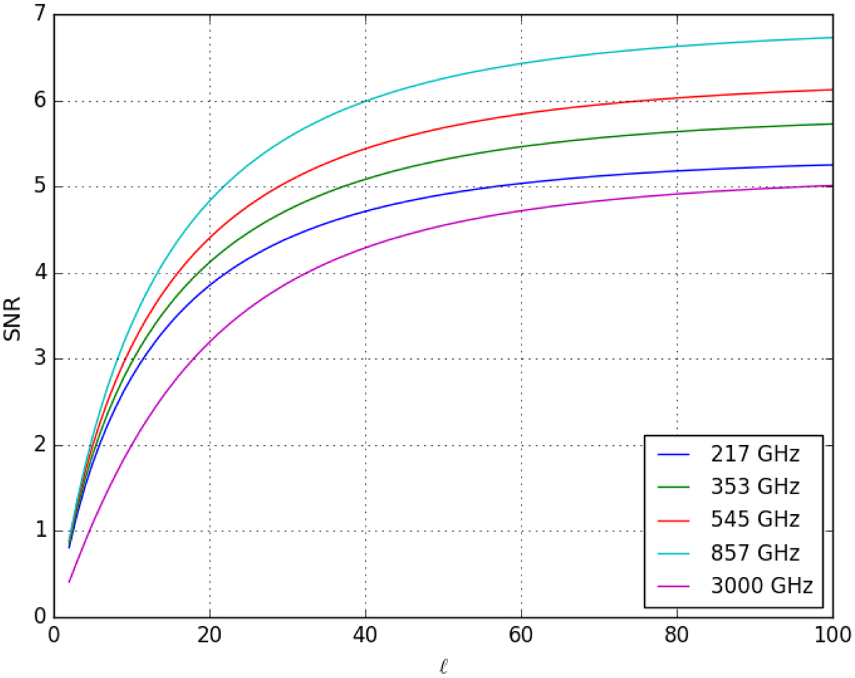
Cumulative S/N for the CIB×ISW cross-correlation signal for the five frequency channels. The S/N is predicted to be highest for 857 GHz.

Current usage metrics show cumulative count of Article Views (full-text article views including HTML views, PDF and ePub downloads, according to the available data) and Abstracts Views on Vision4Press platform.

Data correspond to usage on the plateform after 2015. The current usage metrics is available 48-96 hours after online publication and is updated daily on week days.

Initial download of the metrics may take a while.