Free Access

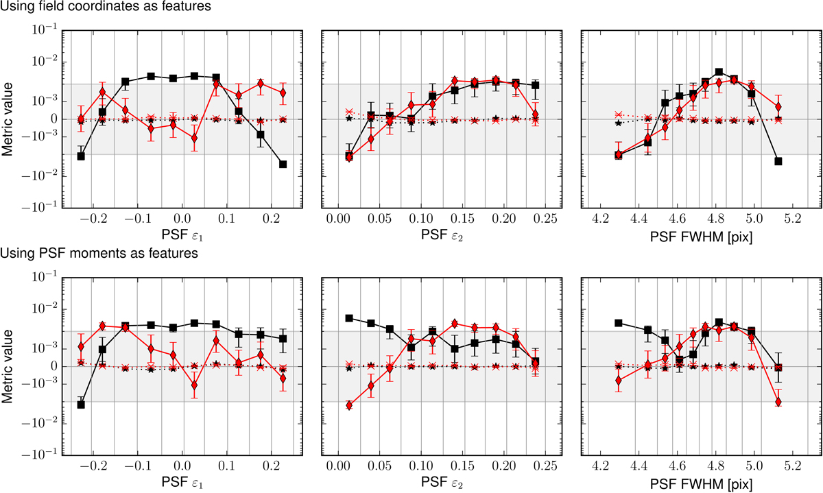
Fig. 15.

image

Similar to Fig. 14, but including the predicted weights, and without any selection of ⟨S/N⟩. For the top panels, the field coordinates (x, y) are used as input features to the ML, while for the bottom panels, the PSF shape parameters ε1, ε2, and σ are used. To obtain μi and ci for each bin, an unweighted linear regression is performed on the weighted average i against the per case, instead of performing a weighted least squares regression on all realizations of a bin. The later approach would result in an undesired weighting between different PSFs.

Current usage metrics show cumulative count of Article Views (full-text article views including HTML views, PDF and ePub downloads, according to the available data) and Abstracts Views on Vision4Press platform.

Data correspond to usage on the plateform after 2015. The current usage metrics is available 48-96 hours after online publication and is updated daily on week days.

Initial download of the metrics may take a while.