Free Access

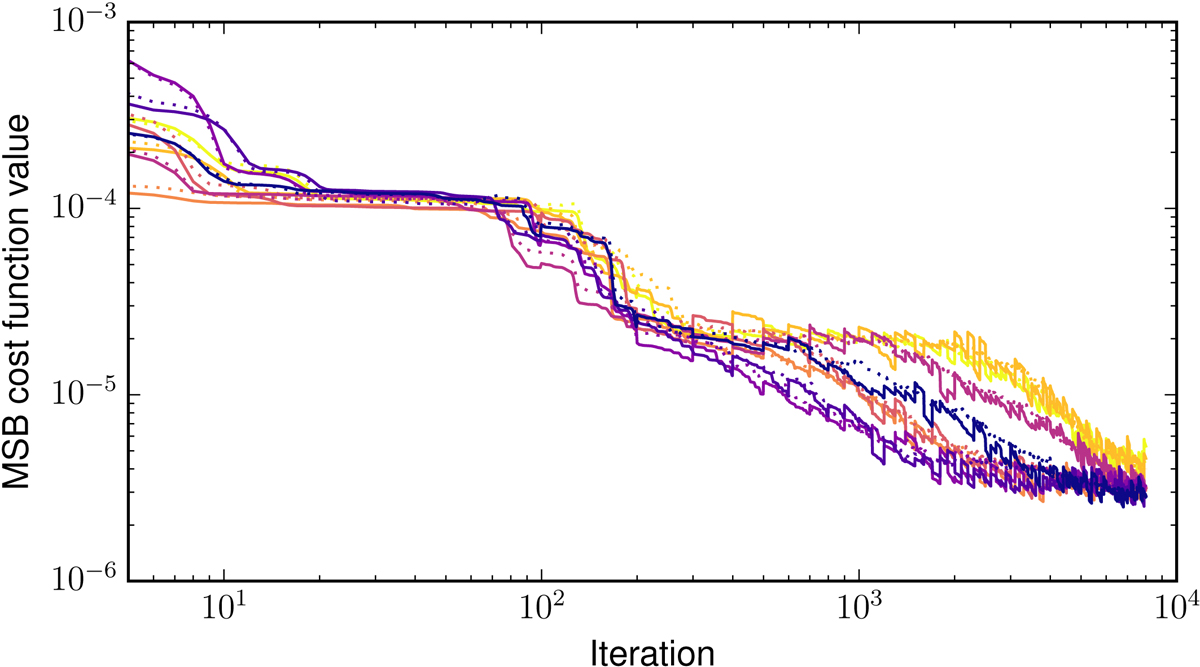
Fig. 7.

image

Evolution of the MSB cost function value during the training of the shear point estimation for the fiducial experiment. Each color shows a different committee member. Evaluations on a validation set are shown with dotted lines. Owing to the implemented mini-batch algorithm (Sect. 3.4), the cost function is not always monotonically decreasing.

Current usage metrics show cumulative count of Article Views (full-text article views including HTML views, PDF and ePub downloads, according to the available data) and Abstracts Views on Vision4Press platform.

Data correspond to usage on the plateform after 2015. The current usage metrics is available 48-96 hours after online publication and is updated daily on week days.

Initial download of the metrics may take a while.