Free Access

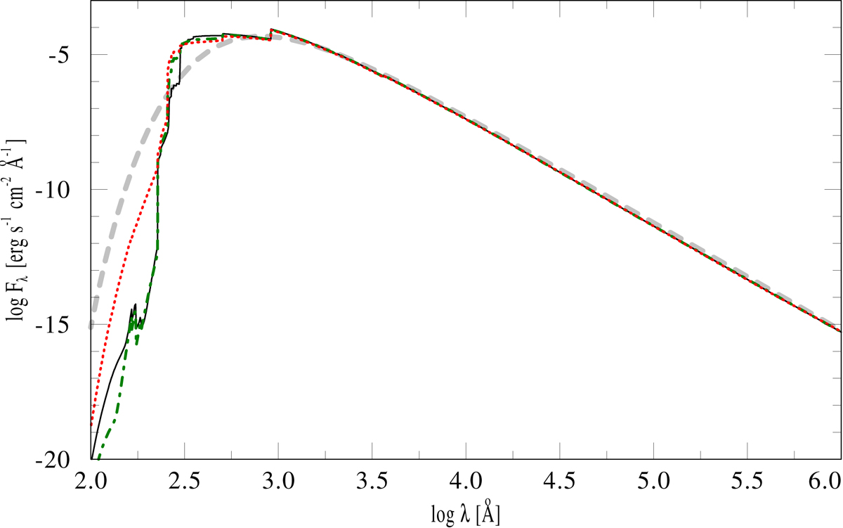
Fig. 4.

image

Spectral energy distributions of the three models shown in Fig. 3 in comparison with a black body of the same effective temperature as the models. The models are plotted with the same line styles and colors as in Fig. 3, while the black body is depicted by a thick gray dashed line.

Current usage metrics show cumulative count of Article Views (full-text article views including HTML views, PDF and ePub downloads, according to the available data) and Abstracts Views on Vision4Press platform.

Data correspond to usage on the plateform after 2015. The current usage metrics is available 48-96 hours after online publication and is updated daily on week days.

Initial download of the metrics may take a while.