Free Access

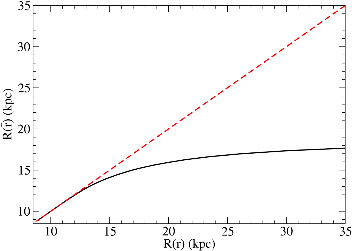
Fig. 1.

image

Galactocentric distance R, obtained after the deconvolution of the heliocentric distances through Eq. (6), vs. R, obtained from the heliocentric distances as 1/π (see Eq. (1)). For comparison, the dashed line (y = x) shows how the Galactocentric distance R should behave without the deconvolution correction. This result is obtained for the Gaia-DR2 data including νr measurements with the constraints: |ℓ−180 ° | <  20°, |b|< 10°, .

Current usage metrics show cumulative count of Article Views (full-text article views including HTML views, PDF and ePub downloads, according to the available data) and Abstracts Views on Vision4Press platform.

Data correspond to usage on the plateform after 2015. The current usage metrics is available 48-96 hours after online publication and is updated daily on week days.

Initial download of the metrics may take a while.