Free Access

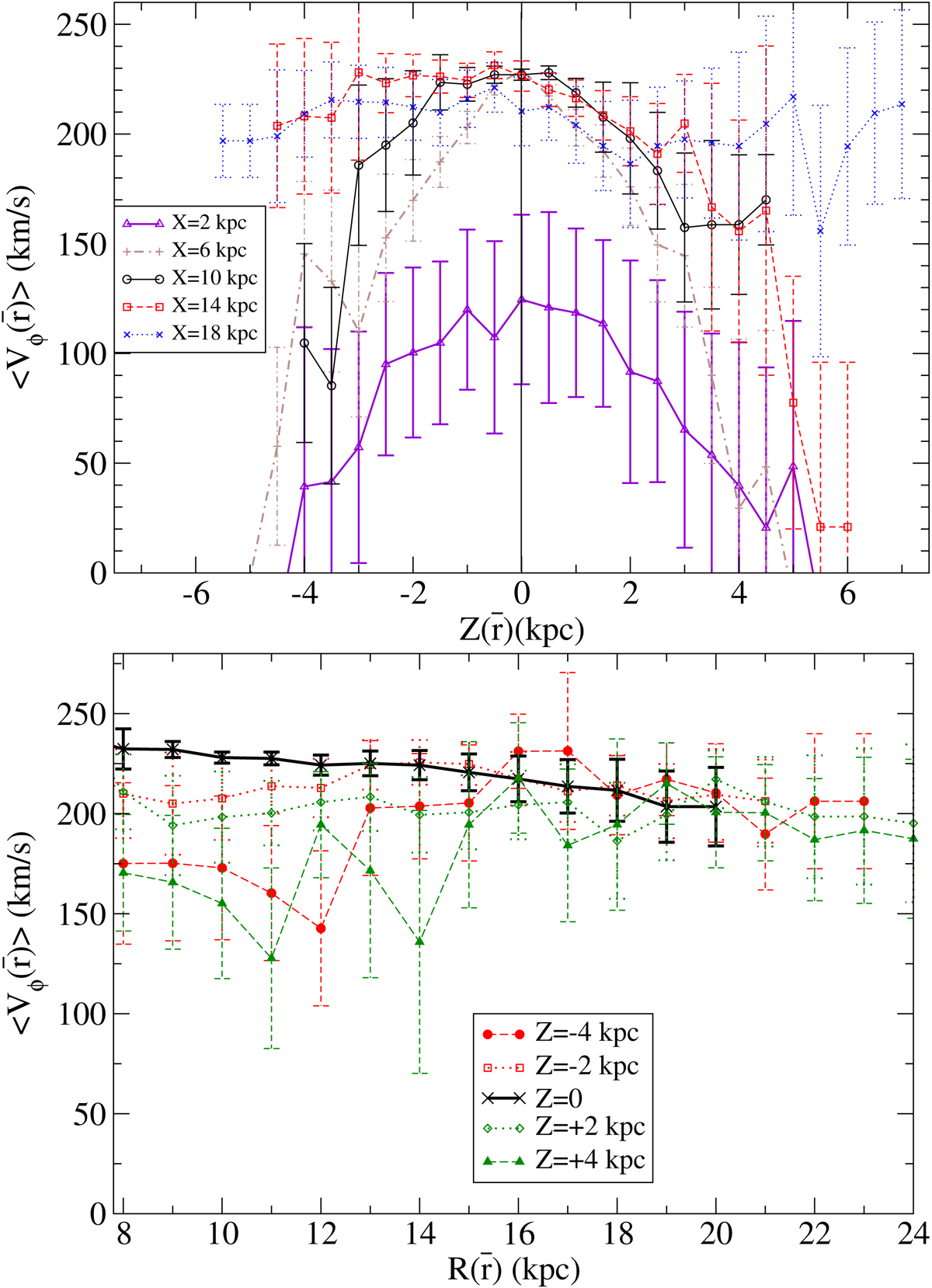
Fig. 14.

image

Azimuthal Galactocentric velocity median as a function of for different cuts of constant and X = 0.2 kpc) (top panel) or as a function of for different cuts of (bottom panel). Application for Gaia-DR2 data including νr measurement with the constraints: −20 ° < ℓ< 20° (only top panel) or 160 ° < ℓ< 200°, .

Current usage metrics show cumulative count of Article Views (full-text article views including HTML views, PDF and ePub downloads, according to the available data) and Abstracts Views on Vision4Press platform.

Data correspond to usage on the plateform after 2015. The current usage metrics is available 48-96 hours after online publication and is updated daily on week days.

Initial download of the metrics may take a while.