Free Access

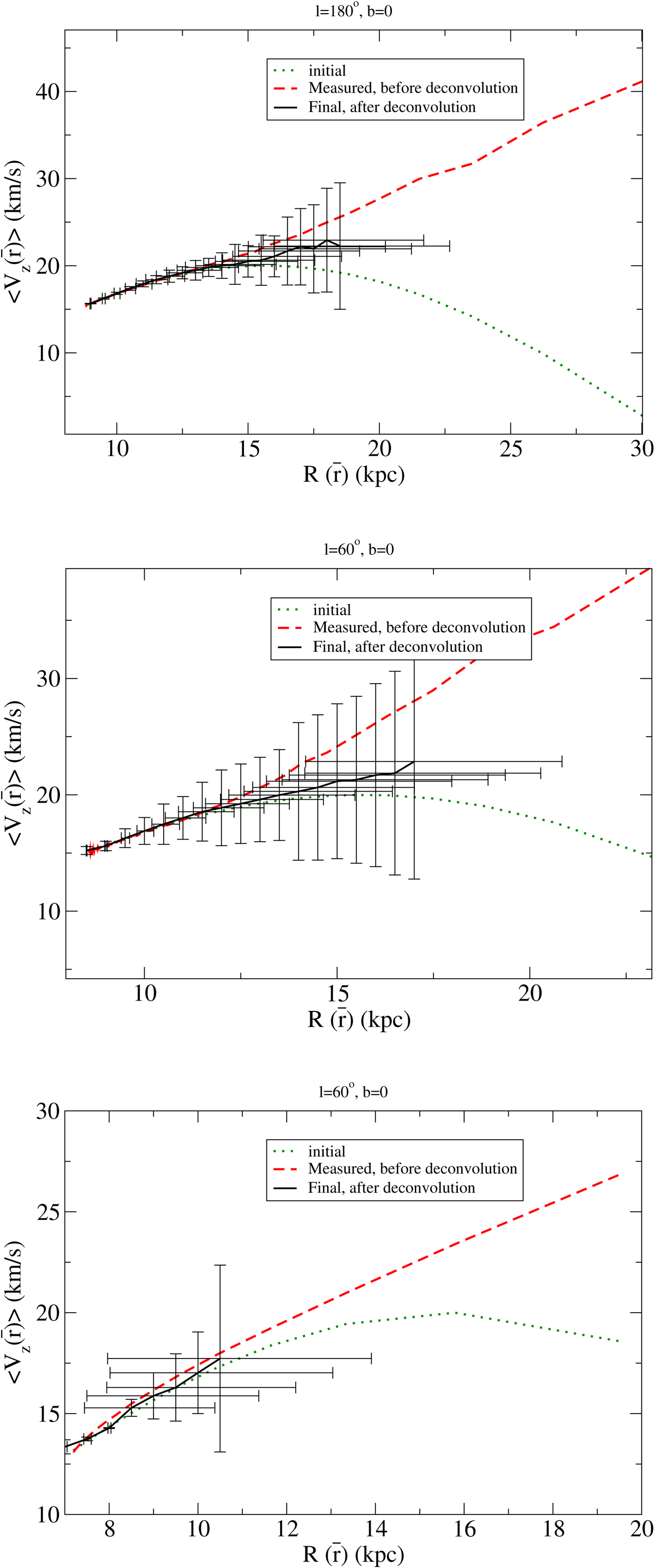
Fig. 7.

image

Monte Carlo simulation of Vz. Horizontal error bars indicate the rms value of the mean deconvolved R (thus the indicated value is an average over that range of dispersion). The three panels are for the directions in the plane ℓ = 180°, ℓ = 120° and ℓ = 60°, respectively.

Current usage metrics show cumulative count of Article Views (full-text article views including HTML views, PDF and ePub downloads, according to the available data) and Abstracts Views on Vision4Press platform.

Data correspond to usage on the plateform after 2015. The current usage metrics is available 48-96 hours after online publication and is updated daily on week days.

Initial download of the metrics may take a while.