Free Access

Fig. 3

image

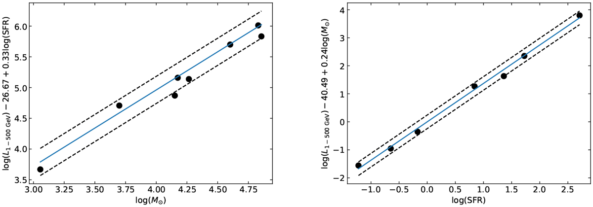
Three-parameter correlation among L1−500 GeV, SFR, and M for molecular clouds (left panel) and star-forming galaxies (right panel). The best-fit lines together with their 1σ dispersion regions are shown with solid and dashed lines, respectively.

Current usage metrics show cumulative count of Article Views (full-text article views including HTML views, PDF and ePub downloads, according to the available data) and Abstracts Views on Vision4Press platform.

Data correspond to usage on the plateform after 2015. The current usage metrics is available 48-96 hours after online publication and is updated daily on week days.

Initial download of the metrics may take a while.