Open Access

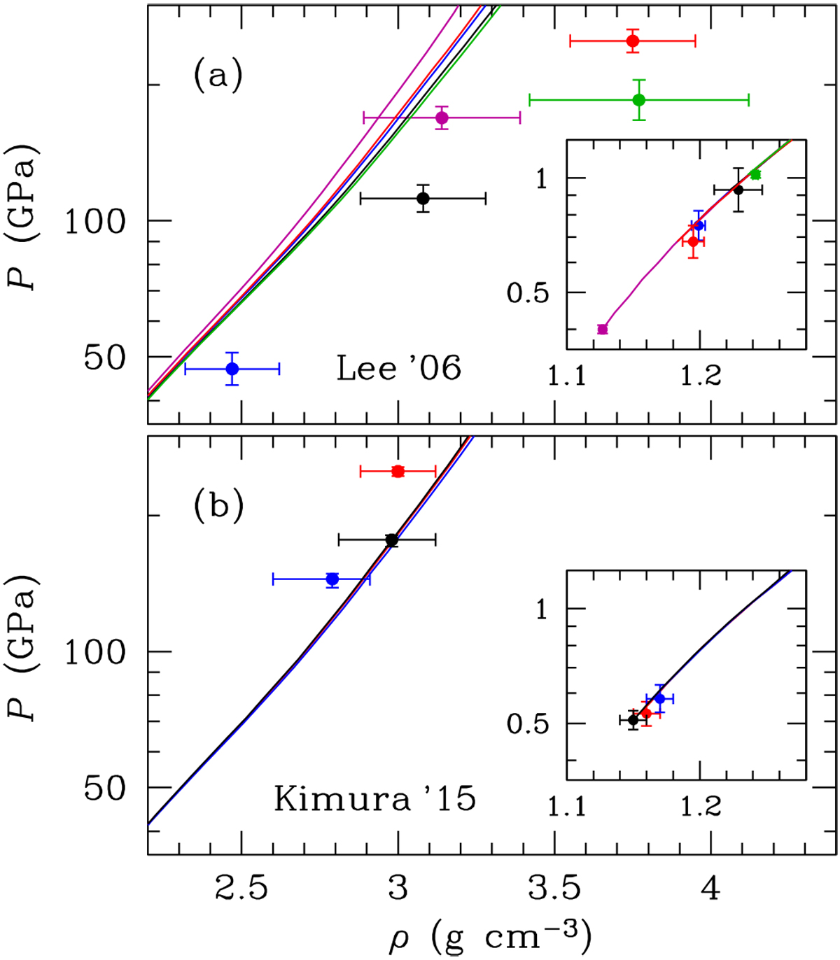
Fig. 9

image

Comparison between the calculations based on our analytical fit and the experimental shock data for initially precompressed water. Panel a: points measured by Lee et al. (2006). Panel b: points obtained by Knudson et al. (2012). The inset ineach panel shows the initial pressures and densities measured.

Current usage metrics show cumulative count of Article Views (full-text article views including HTML views, PDF and ePub downloads, according to the available data) and Abstracts Views on Vision4Press platform.

Data correspond to usage on the plateform after 2015. The current usage metrics is available 48-96 hours after online publication and is updated daily on week days.

Initial download of the metrics may take a while.