Free Access

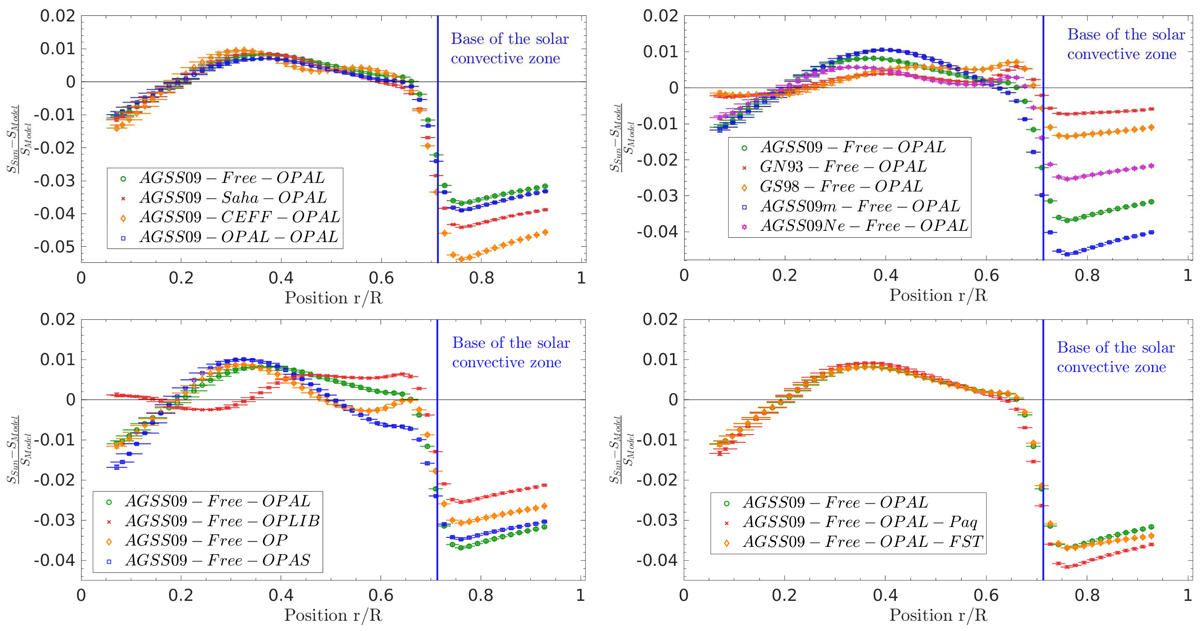
Fig. 2.

image

Relative differences in entropy proxy, S5/3, between the Sun and calibrated solar models. Upper left: effects of the equation of state. Upper right: effects of abundance variations. Lower left: effects of the opacity tables. Lower right: effects of changing the diffusion coefficients and the treatment of convection.

Current usage metrics show cumulative count of Article Views (full-text article views including HTML views, PDF and ePub downloads, according to the available data) and Abstracts Views on Vision4Press platform.

Data correspond to usage on the plateform after 2015. The current usage metrics is available 48-96 hours after online publication and is updated daily on week days.

Initial download of the metrics may take a while.