Free Access

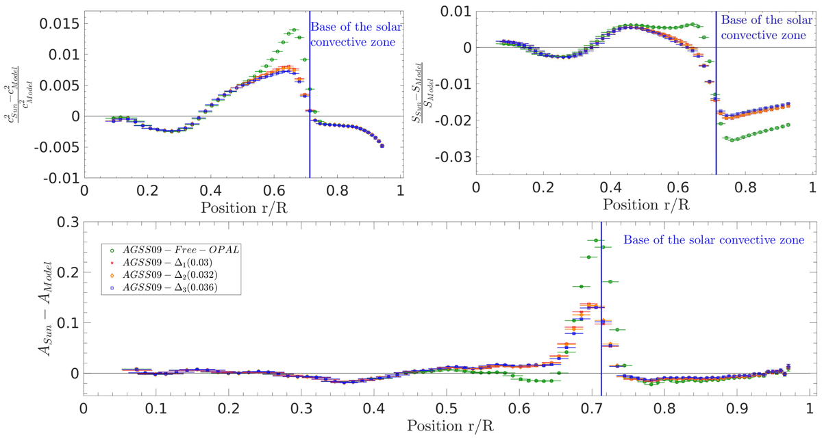
Fig. 6.

image

Inversion results for models with modified opacities including a Gaussian peak at a fixed temperature with different widths but the same height (see text for details). Upper left: relative differences in squared adiabatic sound speed. Upper right: relative differences in entropy proxy, S5/3. Lower panel: differences in Ledoux discriminant, A.

Current usage metrics show cumulative count of Article Views (full-text article views including HTML views, PDF and ePub downloads, according to the available data) and Abstracts Views on Vision4Press platform.

Data correspond to usage on the plateform after 2015. The current usage metrics is available 48-96 hours after online publication and is updated daily on week days.

Initial download of the metrics may take a while.