Free Access

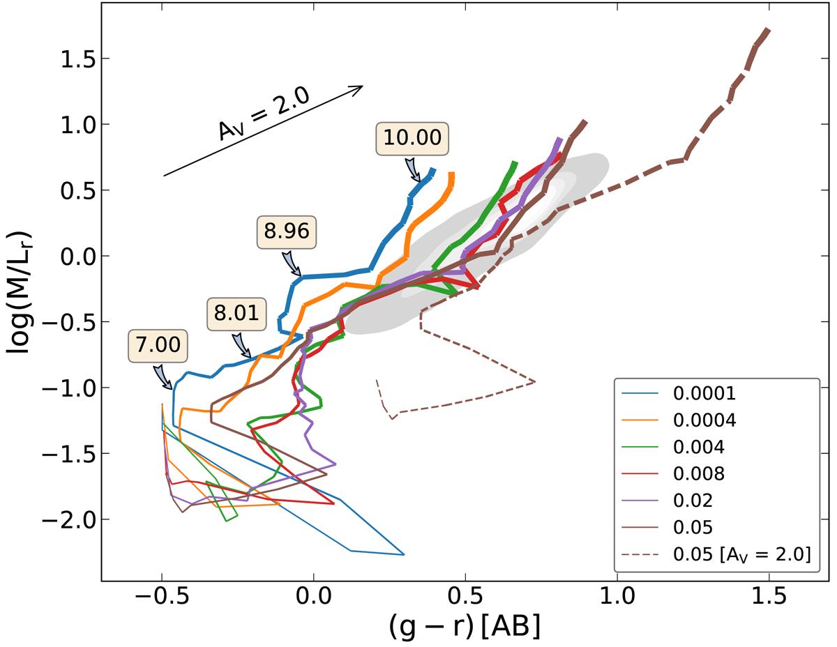
Fig. 6.

image

Tracks of the SSPs of the CBe base in the log(M/Lr)−(g − r) plane. The library contains 6 metallicities and 41 ages. The tracks increase their line width with age (the older the age, the thicker the line). Four signposts mark the position and value of the (logarithmic) age in the lowest metallicity track. The highest metallicity track reddened by AV = 2 mag together with a reddening vector of this amount are also shown. The density distribution of our sample is underlaid in gray contours encompassing 95% of the points.

Current usage metrics show cumulative count of Article Views (full-text article views including HTML views, PDF and ePub downloads, according to the available data) and Abstracts Views on Vision4Press platform.

Data correspond to usage on the plateform after 2015. The current usage metrics is available 48-96 hours after online publication and is updated daily on week days.

Initial download of the metrics may take a while.