Open Access

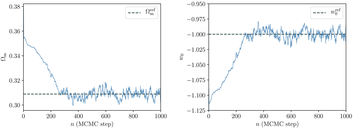
Fig. 5.

image

MCMC chains for the cosmological parameters, for the first 1000 samples, with the reference cosmology employed in the mock generation indicated by the horizontal dashed lines. An initial burn-in phase lasting ∼250 Markov transitions is illustrated by the coherent drift of the Markov chain towards the preferred region in parameter space.

Current usage metrics show cumulative count of Article Views (full-text article views including HTML views, PDF and ePub downloads, according to the available data) and Abstracts Views on Vision4Press platform.

Data correspond to usage on the plateform after 2015. The current usage metrics is available 48-96 hours after online publication and is updated daily on week days.

Initial download of the metrics may take a while.