Gaia Data Release 2
Free Access

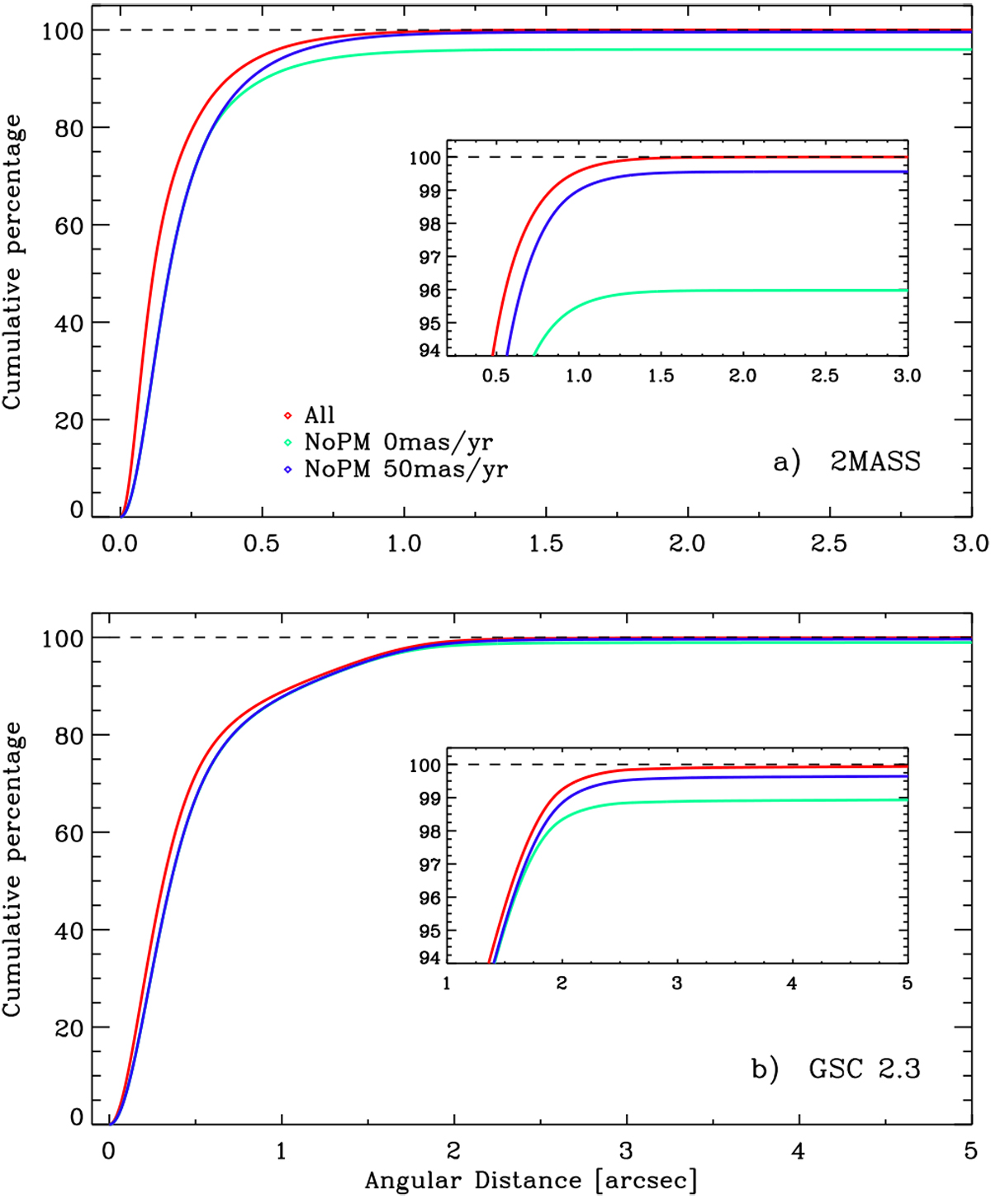
Fig. 2

image

Cumulative distribution of the angular distance of correct best matches obtained with the broadening method using two different proper motion thresholds (50 and 0 mas yr−1) when compared to the proper motion propagation of positions method (red curve indicated by All label).

Current usage metrics show cumulative count of Article Views (full-text article views including HTML views, PDF and ePub downloads, according to the available data) and Abstracts Views on Vision4Press platform.

Data correspond to usage on the plateform after 2015. The current usage metrics is available 48-96 hours after online publication and is updated daily on week days.

Initial download of the metrics may take a while.