Open Access

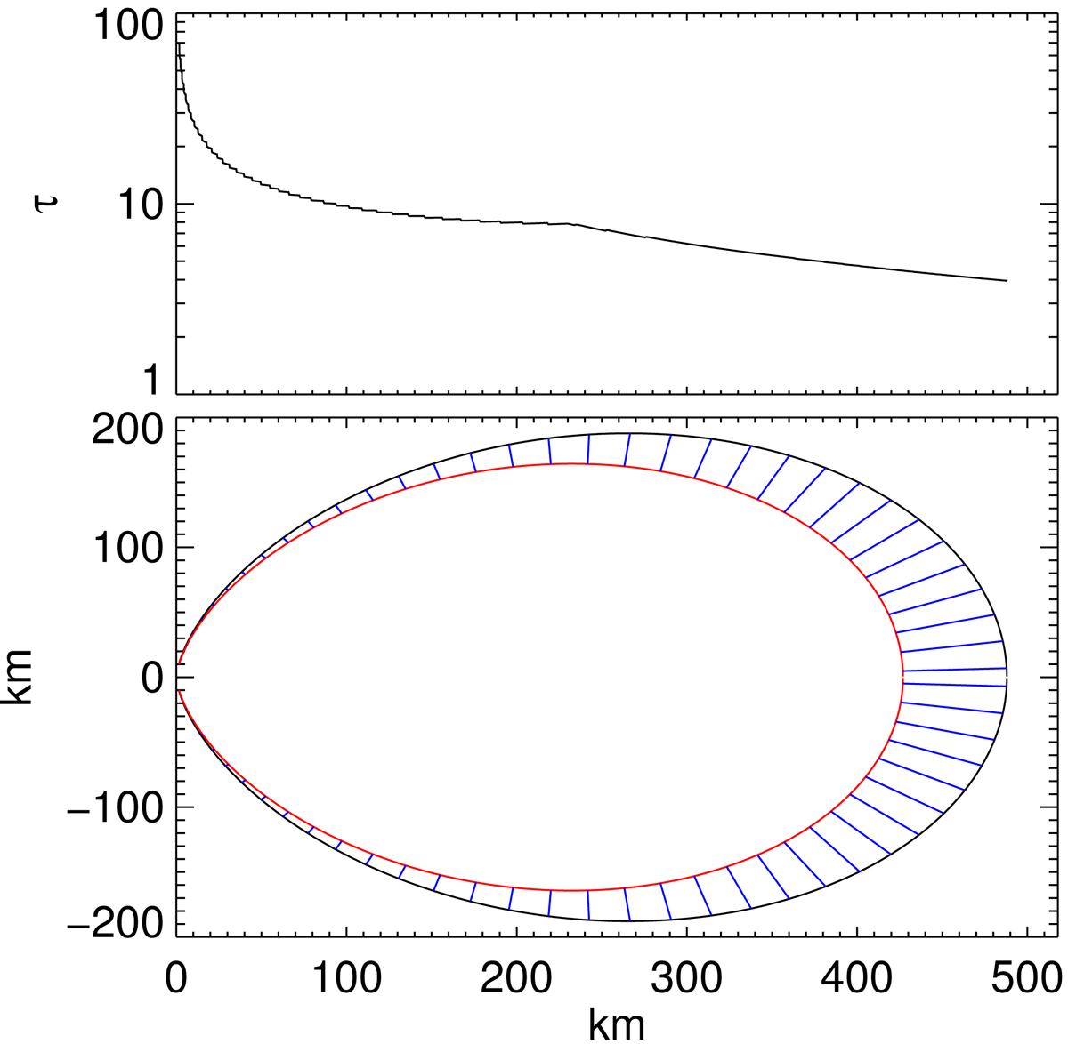
Fig. 2.

image

Structure of the accretion envelope. Optical depth at a distance. Across the envelope, the optical depth has been computed based on the minimum separation of the two confining lines. The separation of the lines (i.e., the base of the accretion column) has been selected to be 100 m (see discussion in West et al. 2017).

Current usage metrics show cumulative count of Article Views (full-text article views including HTML views, PDF and ePub downloads, according to the available data) and Abstracts Views on Vision4Press platform.

Data correspond to usage on the plateform after 2015. The current usage metrics is available 48-96 hours after online publication and is updated daily on week days.

Initial download of the metrics may take a while.