Free Access

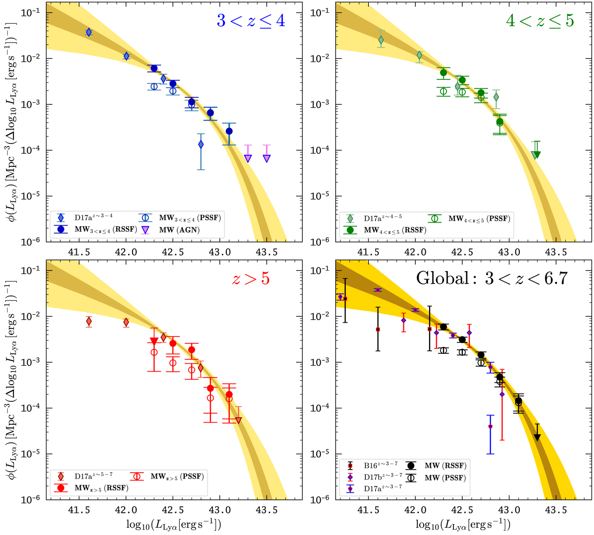
Fig. 16.

image

Differential MUSE-Wide LAE LF in the redshift ranges 2.9 <  z ≤ 4 (top left), 4 <  z ≤ 5 (top right), 5 <  z <  6.7 (bottom left), and for the global MW redshift range (bottom right). Our RSSF (see Sect. 3.2) corrected binned estimates are shown as filled circles, while with the oversimplified PSSF (see Sect. 3.1) corrected binned estimates are shown with open circles. Yellow (dark yellow) shaded regions indicate the 68.3% (95.4%) confidence regions for a Schechter parameterisation obtained a maximum likelihood analysis (Sect. 4.3). For this parametric modelling we corrected with the RSSF for completeness. Also shown in this figure are other MUSE LAE estimates obtained by the MUSE GTO consortium, namely the binned estimates by Drake et al. (2017a) obtained from MUSE commissioning observations in the Hubble Deep Field South, the binned estimates by Drake et al. (2017b) from the MUSE-Deep observations in the Hubble Ultra Deep Field, and the pilot study by Bina et al. (2016) exploiting gravitational lensing by the lensing cluster Abell 1689.

Current usage metrics show cumulative count of Article Views (full-text article views including HTML views, PDF and ePub downloads, according to the available data) and Abstracts Views on Vision4Press platform.

Data correspond to usage on the plateform after 2015. The current usage metrics is available 48-96 hours after online publication and is updated daily on week days.

Initial download of the metrics may take a while.