Free Access

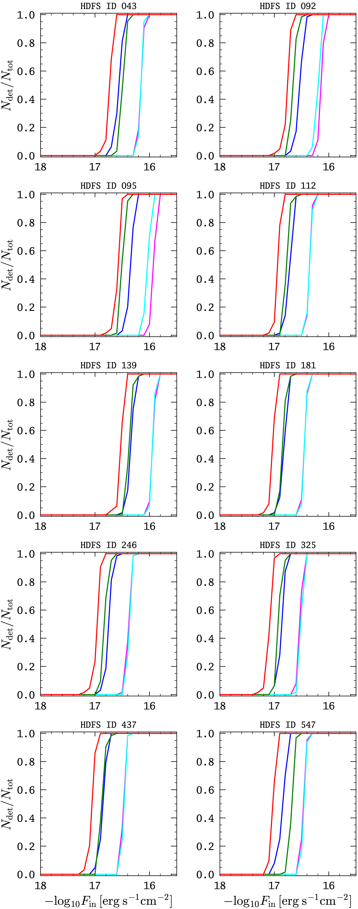
Fig. 4.

image

Recovery fractions from a source insertion and recovery experiment with ten MUSE HDFS LAEs for MW datacube 01. Each panel displays the recovery fraction Ndet/Ntotal for a particular MUSE HDFS LAE as a function of its scaled flux at five different wavelengths (see Fig. 2). Ntotal and Ndet are as defined in Fig. 3.

Current usage metrics show cumulative count of Article Views (full-text article views including HTML views, PDF and ePub downloads, according to the available data) and Abstracts Views on Vision4Press platform.

Data correspond to usage on the plateform after 2015. The current usage metrics is available 48-96 hours after online publication and is updated daily on week days.

Initial download of the metrics may take a while.