Highlight
Free Access

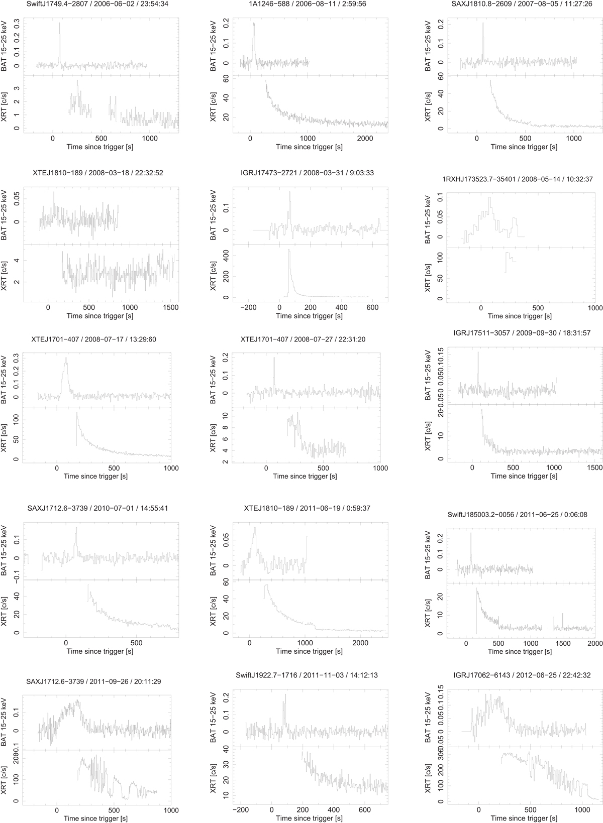
Fig. 1.

image

BAT and XRT light curves of all 28 X-ray bursts with BAT event files and followed up with XRT, except 4U 1812-12/2005-02-24 because its XRT coverage is sparse. The BAT light curves are normalized and corrected for a changing pointing due to the slews. The XRT data are for the complete detector and without corrections for pile-up or background. The steps that can sometimes be seen in XRT data are due to a switch in CCD data collection mode with different pile-up fractions.

Current usage metrics show cumulative count of Article Views (full-text article views including HTML views, PDF and ePub downloads, according to the available data) and Abstracts Views on Vision4Press platform.

Data correspond to usage on the plateform after 2015. The current usage metrics is available 48-96 hours after online publication and is updated daily on week days.

Initial download of the metrics may take a while.