Free Access

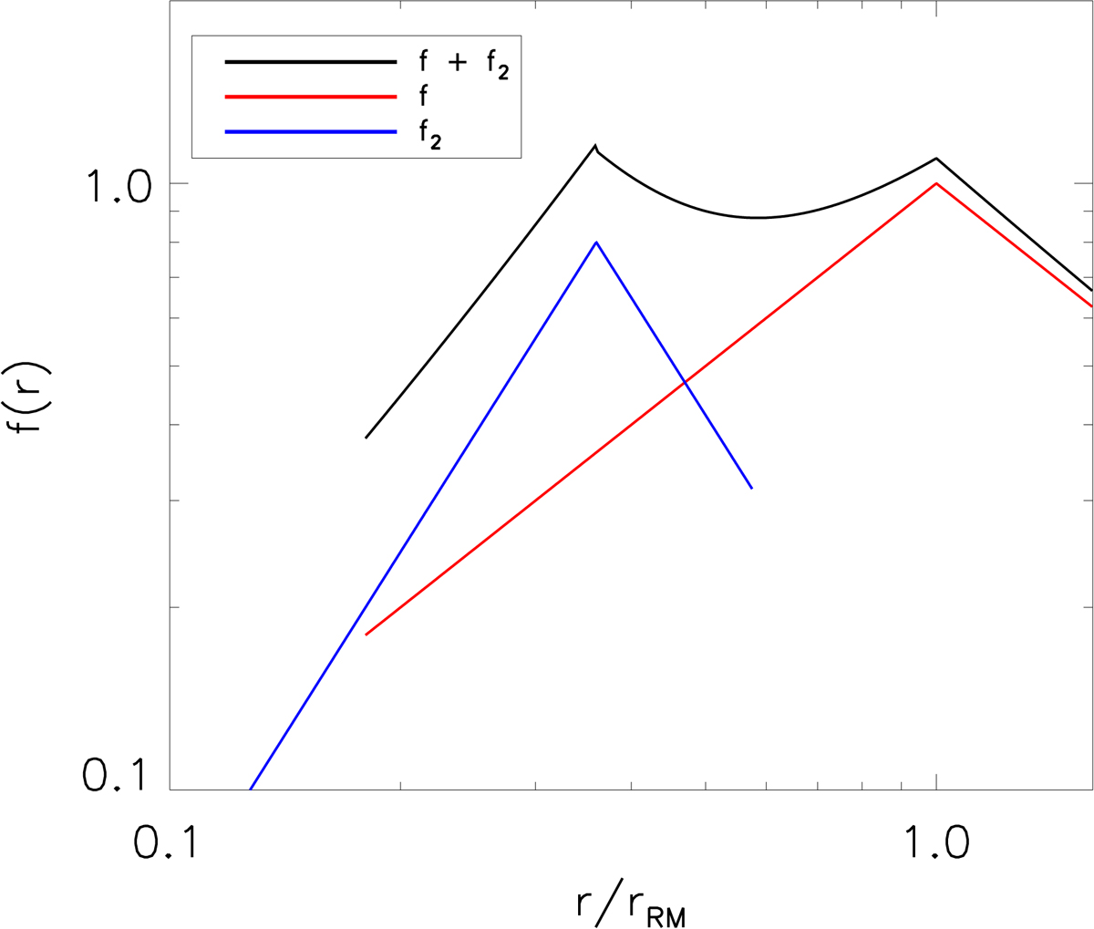
Fig. 11.

image

Radial distribution of line emission as used in Eq. (6) for f (red line), f2 (blue line) and the sum of the two components at φ  =  0.5 π (where we put the additional clouds in azimuthal direction). rrm is the center of the overall BLR and the additional clouds are shifted inwards according to the ratio of vrot and vrot, 2 squared. Together with the distribution in azimuthal direction (compare Fig. 10) the additional clouds are responsible for approximately 5% of the total BEL flux.

Current usage metrics show cumulative count of Article Views (full-text article views including HTML views, PDF and ePub downloads, according to the available data) and Abstracts Views on Vision4Press platform.

Data correspond to usage on the plateform after 2015. The current usage metrics is available 48-96 hours after online publication and is updated daily on week days.

Initial download of the metrics may take a while.