Free Access

Fig. A.3.

image

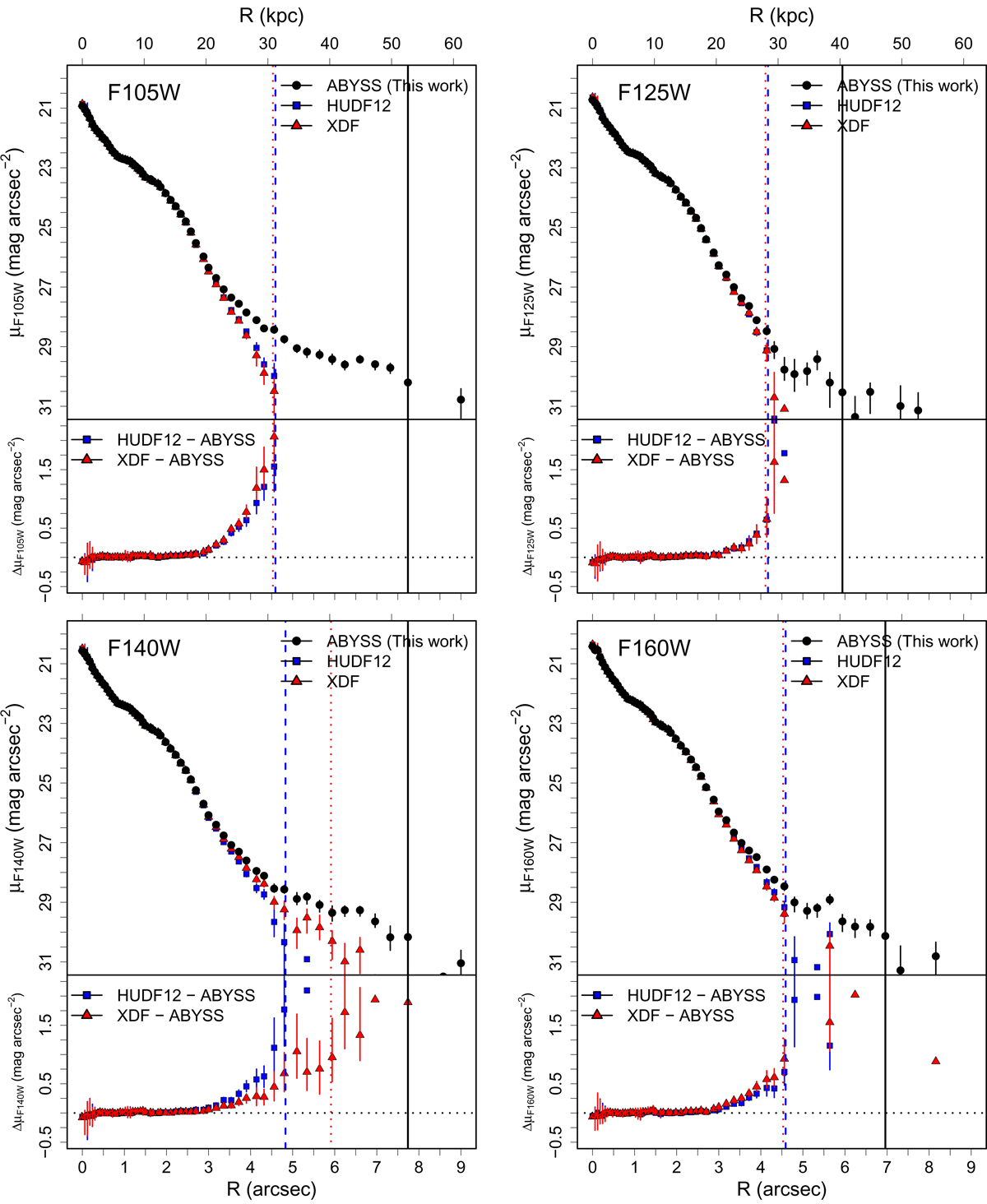
Comparison of the surface brightness profiles of the spiral galaxy ABYSS-1 (α = 53.16993, δ = −27.77106, Elmegreen et al. 2005) for the F105W (top left panel), F125W (top right panel), F140W (bottom left panel), and F160W filters (bottom right panel), using our own reduction of the HUDF WFC3 mosaics (ABYSS, black dots), the HUDF12 (Koekemoer et al. 2012, blue squares), and the XDF (Illingworth et al. 2013, red triangles). The top plot of each panel shows the surface brightness profile for each reduction. Black solid, blue dashed, and red dotted lines represent the elliptic aperture with largest semi-major axis that presents an S/N higher than 3 over the sky-level. The bottom plot represents the difference in magnitude of each previous reduction with the ABYSS version of the mosaics as a function of galactocentric radius. Consult the legend on the figure.

Current usage metrics show cumulative count of Article Views (full-text article views including HTML views, PDF and ePub downloads, according to the available data) and Abstracts Views on Vision4Press platform.

Data correspond to usage on the plateform after 2015. The current usage metrics is available 48-96 hours after online publication and is updated daily on week days.

Initial download of the metrics may take a while.