Free Access

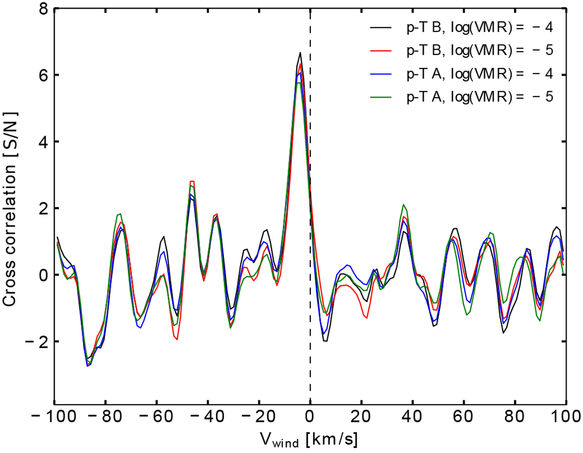
Fig. 9

image

Cross-correlation functions obtained when combining all the useful orders in the CARMENES NIR wavelength range for thestudied H2O absorption models. The results are very similar for the four tested models, hence showing a degeneracy in the tested pT profiles and H2O abundances.

Current usage metrics show cumulative count of Article Views (full-text article views including HTML views, PDF and ePub downloads, according to the available data) and Abstracts Views on Vision4Press platform.

Data correspond to usage on the plateform after 2015. The current usage metrics is available 48-96 hours after online publication and is updated daily on week days.

Initial download of the metrics may take a while.