Free Access

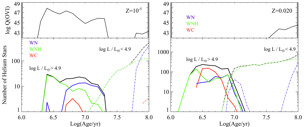
Fig. 10.

image

Population of stars with a surface hydrogen mass fraction of Xsurf < 0.4, i.e. helium stars, as a function of time assuming an initial population of 106 M, compared to the photon flux Q(O VI). Those with very low hydrogen (Xsurf < 0.001, classic Wolf-Rayet stars) are subdivided by the presence (WC) or absence (WN) of carbon. The population is further subdivided into high luminosity (solid lines) and low luminosity (dot-dash) populations. We show results at the highest and lowest metallicities considered here.

Current usage metrics show cumulative count of Article Views (full-text article views including HTML views, PDF and ePub downloads, according to the available data) and Abstracts Views on Vision4Press platform.

Data correspond to usage on the plateform after 2015. The current usage metrics is available 48-96 hours after online publication and is updated daily on week days.

Initial download of the metrics may take a while.