Open Access

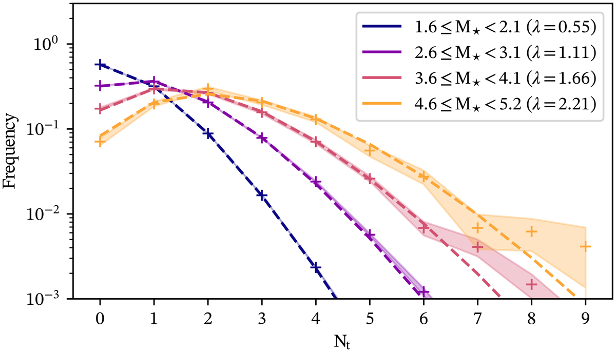
Fig. 15.

image

Distribution of the number of star tracers per star for different star particle mass bins (in units of 104M) as observed in the simulation (symbols and shaded surfaces) vs. as given by a Poisson distribution with parameter λ = ⟨M⟩/mt (dashed). The error bars have been estimated using a bootstrap method. For all stars, the distribution of the number of star tracers per star is approximated by a Poisson distribution with parameter λ.

Current usage metrics show cumulative count of Article Views (full-text article views including HTML views, PDF and ePub downloads, according to the available data) and Abstracts Views on Vision4Press platform.

Data correspond to usage on the plateform after 2015. The current usage metrics is available 48-96 hours after online publication and is updated daily on week days.

Initial download of the metrics may take a while.