Free Access

Fig. 2.

image

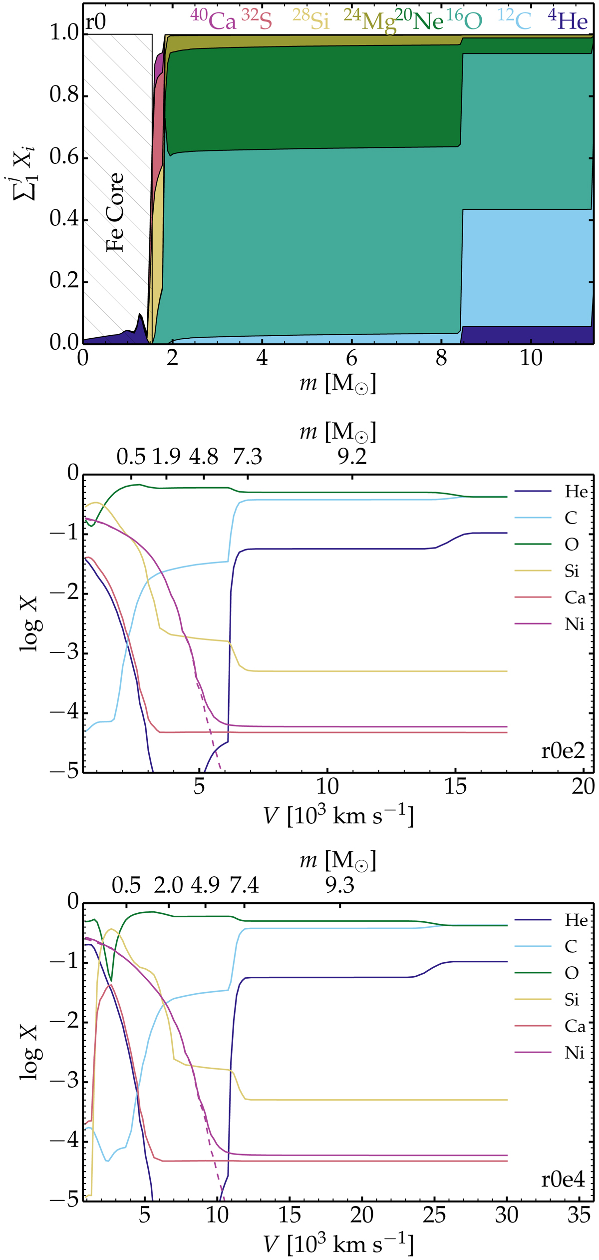
Top panel: envelope composition for model r0 at the onset of core collapse as a function of Lagrangian mass m. The cumulative sum of mass fractions is shown versus depth, starting from light elements. The iron core is the hatched area and its outer edge at 1.55 M corresponds closely to the adopted mass cut at 1.57 M for the piston trigger. Middle panel: ejecta composition for model r0e2 versus velocity and Lagrangian mass (the innermost ejecta shell is at m = 0 and the dashed line corresponds to 56Ni). Bottom panel: same as middle but now for model r0e4. The profiles are similar apart from a shift in velocity and a slightly different composition resulting from the explosive nucleosynthesis in the innermost layers (a greater mass of α-rich freeze-out products, including helium, is present in higher-energy explosions).

Current usage metrics show cumulative count of Article Views (full-text article views including HTML views, PDF and ePub downloads, according to the available data) and Abstracts Views on Vision4Press platform.

Data correspond to usage on the plateform after 2015. The current usage metrics is available 48-96 hours after online publication and is updated daily on week days.

Initial download of the metrics may take a while.